LHC@HOME
COMPARISON
Tunes
Generators
PLOTS
4-lepton
b
b
Elastic
Jets
Soft QCD (inelastic)
Soft QCD (nsd only)
Total σ
Top (t-channel)
Top (all)
Top (parton level)
Top (t
t
)
Underlying Event
W+Jet
W
WW
Z+Jet
ee : γ*/Z (hadronic)
Z (Drell-Yan)
ABOUT
ALICE 2010 S8624100
ALEPH 1996 S3486095
ALEPH 1999 S4193598
ALEPH 2004 S5765862
ALICE 2010 S8624100
ALICE 2010 S8625980
ALICE 2010 S8706239
ALICE 2011 S8909580
ALICE 2011 S8945144
ALICE 2012 I1116147
ALICE 2012 I1181770
ALICE 2014 I1300380
ALICE 2015 I1357424
ALICE 2017 I1511870
ALICE 2022 I1868463
ATLAS 2010 S8591806
ATLAS 2010 S8817804
ATLAS 2010 S8894728
ATLAS 2010 S8918562
ATLAS 2010 S8919674
ATLAS 2011 I894867
ATLAS 2011 I919017
ATLAS 2011 I926145
ATLAS 2011 S8924791
ATLAS 2011 S8971293
ATLAS 2011 S9002537
ATLAS 2011 S9126244
ATLAS 2011 S9128077
ATLAS 2011 S9131140
ATLAS 2012 I1084540
ATLAS 2012 I1094564
ATLAS 2012 I1094568
ATLAS 2012 I1119557
ATLAS 2012 I1183818
ATLAS 2013 I1243871
ATLAS 2014 I1282441
ATLAS 2014 I1304688
ATLAS 2015 I1393758
ATLAS 2016 I1419070
ATLAS 2016 I1467454
ATLAS 2017 I1509919
ATLAS 2017 I1514251
ATLAS 2017 I1589844
ATLAS 2019 I1718132
ATLAS 2019 I1720442
ATLAS 2019 I1724098
ATLAS 2019 I1725190
ATLAS 2019 I1734263
ATLAS 2019 I1736531
ATLAS 2019 I1740909
ATLAS 2019 I1744201
ATLAS 2019 I1746286
ATLAS 2019 I1750330
ATLAS 2019 I1759875
ATLAS 2019 I1762584
ATLAS 2019 I1768911
ATLAS 2019 I1772062
ATLAS 2020 I1788444
ATLAS 2020 I1790256
ATLAS 2020 I1801434
ATLAS 2021 I1849535
ATLAS 2021 I1852328
ATLAS 2021 I1941095
ATLAS 2022 I2077570
CDF 1988 S1865951
CDF 1990 S2089246
CDF 1994 S2952106
CDF 2000 S4155203
CDF 2001 S4751469
CDF 2002 S4796047
CDF 2005 S6217184
CDF 2009 NOTE 9936
CDF 2009 S8233977
CDF 2010 S8591881 QCD
CDF 2012 I1124333
CDF 2015 I1388868
CMS 2010 S8547297
CMS 2010 S8656010
CMS 2011 S8884919
CMS 2011 S8941262
CMS 2011 S8950903
CMS 2011 S8957746
CMS 2011 S8968497
CMS 2011 S8973270
CMS 2011 S8978280
CMS 2011 S9086218
CMS 2011 S9088458
CMS 2011 S9120041
CMS 2011 S9215166
CMS 2012 I1087342
CMS 2012 I1090423
CMS 2012 I1102908
CMS 2012 I1184941
CMS 2012 I1193338
CMS 2012 PAS QCD 11 010
CMS 2013 I1218372
CMS 2013 I1224539
CMS 2013 I1261026
CMS 2013 I1265659
CMS 2015 I1327224
CMS 2015 I1384119
CMS 2015 I1385107
CMS 2016 I1421646
CMS 2016 I1430892
CMS 2016 I1486238
CMS 2017 I1511284
CMS 2017 I1518399
CMS 2017 I1519995
CMS 2017 I1605749
CMS 2019 I1705068
CMS 2019 I1719955
CMS 2019 I1744604
CMS 2019 I1753680
CMS 2019 I1753720
CMS 2019 I1764472
CMS 2020 I1776758
CMS 2020 I1814328
CMS 2020 I1837084
CMS 2021 I1847230
CMS 2021 I1866118
CMS 2021 I1920187
CMS 2021 I1932460
CMS 2021 I1963239
CMS 2021 I1972986
CMS 2022 I2079374
CMS EWK 10 012
D0 2010 S8671338
D0 2010 S8821313
D0 2011 I895662
DELPHI 1991 I301657
DELPHI 1995 S3137023
DELPHI 1996 S3430090
DELPHI 2011 I890503
HRS 1986 I18502
L3 1992 I336180
LHCB 2010 I867355
LHCB 2010 S8758301
LHCB 2011 I917009
LHCB 2011 I919315
LHCB 2012 I1119400
LHCB 2012 I1208102
LHCB 2013 I1208105
LHCB 2013 I1218996
LHCF 2012 I1115479
MC FBA TTBAR
MC GAPS
OPAL 1992 I321190
OPAL 1993 I342766
OPAL 1998 S3780481
OPAL 2003 I599181
OPAL 2004 S6132243
PHENIX 2019 I1672015
SLD 2002 S4869273
SLD 2004 S5693039
STAR 2006 S6500200
STAR 2006 S6860818
STAR 2006 S6870392
STAR 2008 S7869363
STAR 2009 UE HELEN
TASSO 1989 I277658
TOTEM 2011 I930960
TOTEM 2012 I1115294
TOTEM 2012 I1220862
UA1 1990 S2044935
UA5 1982 S875503
UA5 1986 S1583476
UA5 1987 S1640666
UA5 1988 S1867512
UA5 1989 S1926373
Soft QCD (inelastic)
Multiplicity Distributions
Soft QCD (inelastic) : Multiplicity Distributions
Pythia 8 : Py8 vs Py6
General-Purpose MCs
Main
Herwig vs Pythia
Pythia 6 vs 8
All C++ Generators
Soft-Inclusive MCs
Min-Bias Tunes
UE Tunes
EPOS vs Pythia
Pythia 8
Matched/Merged MCs
Main
vs GPMCs
Powheg-Box
Herwig
Main
Herwig++
Powheg
Herwig7 vs Pythia
Herwig7 vs Sherpa
Pythia 8
Main
A14
AU2-PDFs
Diffraction
LEP
Rad Variations
No CR
4Cx
Tevatron
Py8 vs Py6
Py8 vs Herwig
Py8 vs Sherpa
Pythia 6
Main
Py6 vs Py8
P12-RadFrag
P12-MpiCR
AMBT2 vs Z2
AUET2B-PDFs
P12-PDFs
CTEQ6 vs LO*
IBK LOPDFs
IBK NLOPDFs
Perugia History
P11-All
LHC tunes
Tevatron
Old vs P12
Sherpa
Main
Matching/Merging
Customize
ℹ️
Choose generators/versions/tunes to plot : either from a pre-defined preset (left button) or from all available MCs (right button)
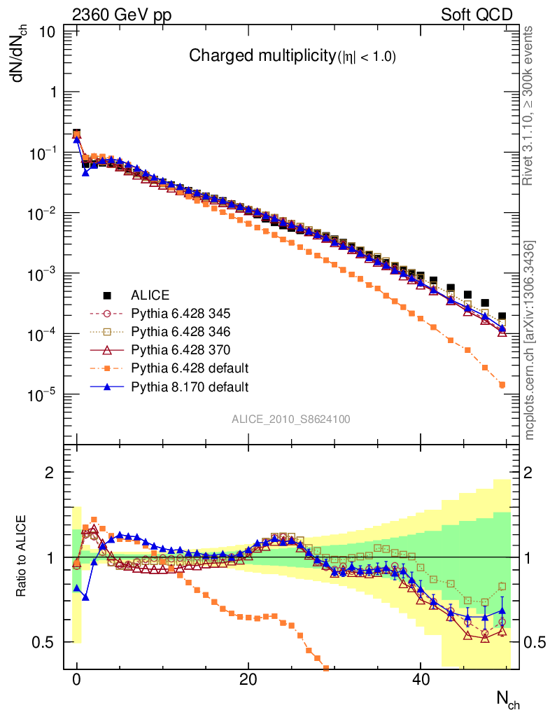
pp @ 2360 GeV
details
Download as:
.pdf
.eps
.png
.script.tgz
#
ALICE experiment:
data
|
article paper
Pythia 6 (345:AMBT2B):
data
|
generator card
Pythia 6 (346:AUET2B):
data
|
generator card
Pythia 6 (370:P2012):
data
|
generator card
Pythia 6 (Def):
data
|
generator card
Pythia 8 (Def):
data
|
generator card
details
Download as:
.pdf
.eps
.png
.script.tgz
#
ALICE experiment:
data
|
article paper
Pythia 6 (345:AMBT2B):
data
|
generator card
Pythia 6 (346:AUET2B):
data
|
generator card
Pythia 6 (370:P2012):
data
|
generator card
Pythia 6 (Def):
data
|
generator card
Pythia 8 (Def):
data
|
generator card
details
Download as:
.pdf
.eps
.png
.script.tgz
#
ALICE experiment:
data
|
article paper
Pythia 6 (345:AMBT2B):
data
|
generator card
Pythia 6 (346:AUET2B):
data
|
generator card
Pythia 6 (370:P2012):
data
|
generator card
Pythia 6 (Def):
data
|
generator card
Pythia 8 (Def):
data
|
generator card
pp @ 900 GeV
details
Download as:
.pdf
.eps
.png
.script.tgz
#
ALICE experiment:
data
|
article paper
Pythia 6 (345:AMBT2B):
data
|
generator card
Pythia 6 (346:AUET2B):
data
|
generator card
Pythia 6 (370:P2012):
data
|
generator card
Pythia 6 (Def):
data
|
generator card
Pythia 8 (Def):
data
|
generator card
details
Download as:
.pdf
.eps
.png
.script.tgz
#
ALICE experiment:
data
|
article paper
Pythia 6 (345:AMBT2B):
data
|
generator card
Pythia 6 (346:AUET2B):
data
|
generator card
Pythia 6 (370:P2012):
data
|
generator card
Pythia 6 (Def):
data
|
generator card
Pythia 8 (Def):
data
|
generator card
details
Download as:
.pdf
.eps
.png
.script.tgz
#
ALICE experiment:
data
|
article paper
Pythia 6 (345:AMBT2B):
data
|
generator card
Pythia 6 (346:AUET2B):
data
|
generator card
Pythia 6 (370:P2012):
data
|
generator card
Pythia 6 (Def):
data
|
generator card
Pythia 8 (Def):
data
|
generator card