Soft QCD (inelastic)

<pT>j vs Nch <pT> vs Nch Energy flow Forward energy flow ratio EM energy spectrum Hadronic energy spectrum Total energy spectrum η Distributions Rapidity gap size Rapidity Gaps (MC only) Jet pT Multiplicity Distributions pT Distributions <pT> vs mass Σ(ET) Σ(ET) vs Nch Diffractive ξ Cross sections

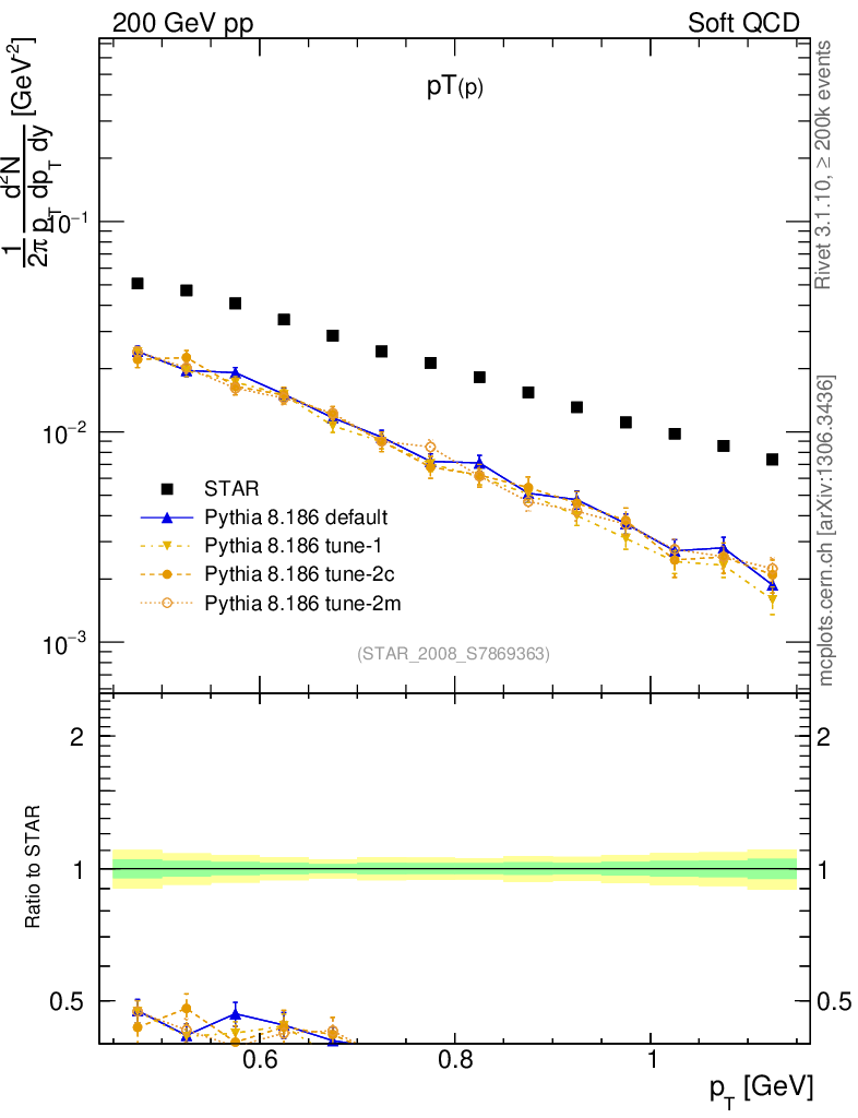
Soft QCD (inelastic) : Identified Particles : pT : p

ℹ️Choose generators/versions/tunes to plot : either from a pre-defined preset (left button) or from all available MCs (right button)

pp @ 200 GeV

Plot of p_pt in 200 GeV pp collisions
Plot of p_pt in 200 GeV pp collisions