LHC@HOME
CARDS
COMPARISON
Tunes
Generators
PLOTS
4-lepton
b
b
Elastic
Heavy Ion : minbias
Jets
Soft QCD (inelastic)
Soft QCD (nsd only)
Total σ
Top (t-channel)
Top (all)
Top (parton level)
Top (t
t
)
Underlying Event
W+Jet
W
WW
Z+Jet
ee : γ*/Z (hadronic)
Z (Drell-Yan)
ABOUT
Top (parton level)
Δφ (ttbar)
Δy (ttbar)
|Δy| (ttbar)
M (ttbar)
pT (ttbar)
Cross sections
y (ttbar)
Asymmetry
Δφ (ttbar)
Δy (ttbar)
|Δy| (ttbar)
M (ttbar)
pT (tbar)
pT (top)
pT (ttbar)
y (tbar)
y (top)
y (ttbar)
Individual tops
pT (tbar)
pT (top)
y (tbar)
y (top)
Top (parton level) : pT (ttbar)
General-Purpose MCs : Pythia 6 vs 8
General-Purpose MCs
Main
Herwig vs Pythia
Pythia 6 vs 8
All C++ Generators
Soft-Inclusive MCs
Min-Bias Tunes
UE Tunes
EPOS vs Pythia
Pythia 8
Matched/Merged MCs
Main
vs GPMCs
Powheg-Box
Herwig
Main
Herwig++
Powheg
Herwig7 vs Pythia
Herwig7 vs Sherpa
Pythia 8
Main
A14
AU2-PDFs
Diffraction
LEP
Rad Variations
No CR
4Cx
Tevatron
Py8 vs Py6
Py8 vs Herwig
Py8 vs Sherpa
Pythia 6
Main
Py6 vs Py8
P12-RadFrag
P12-MpiCR
AMBT2 vs Z2
AUET2B-PDFs
P12-PDFs
CTEQ6 vs LO*
IBK LOPDFs
IBK NLOPDFs
Perugia History
P11-All
LHC tunes
Tevatron
Old vs P12
Sherpa
Main
Matching/Merging
Customize
ℹ️
Choose generators/versions/tunes to plot : either from a pre-defined preset (left button) or from all available MCs (right button)
pp @ 7000 GeV
details
Download as:
.pdf
.eps
.png
.script
#
Analysis ID:
MC_FBA_TTBAR
Hist ID:
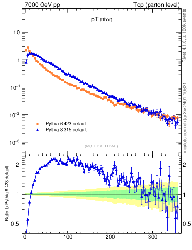
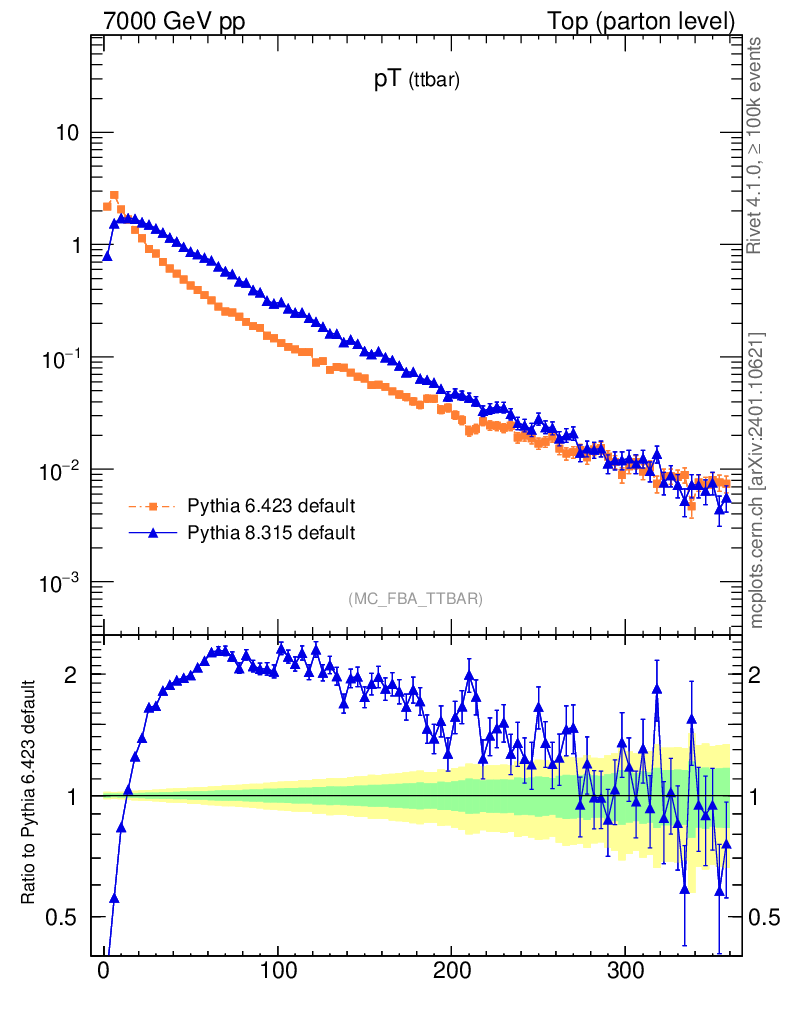
/MC_FBA_TTBAR/pTttbar.all
Pythia 6 (Def):
data
|
generator card
Pythia 8 (Def):
data
|
generator card
details
Download as:
.pdf
.eps
.png
.script
#
Analysis ID:
MC_FBA_TTBAR
Hist ID:
/MC_FBA_TTBAR/pTttbar.bw
Pythia 6 (Def):
data
|
generator card
Pythia 8 (Def):
data
|
generator card
details
Download as:
.pdf
.eps
.png
.script
#
Analysis ID:
MC_FBA_TTBAR
Hist ID:
/MC_FBA_TTBAR/pTttbar.fw
Pythia 6 (Def):
data
|
generator card
Pythia 8 (Def):
data
|
generator card
details
Download as:
.pdf
.eps
.png
.script
#
Analysis ID:
MC_FBA_TTBAR
Hist ID:
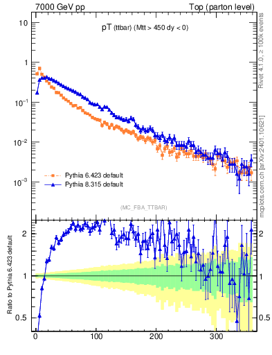
/MC_FBA_TTBAR/highMtt.pTttbar.all
Pythia 6 (Def):
data
|
generator card
Pythia 8 (Def):
data
|
generator card
details
Download as:
.pdf
.eps
.png
.script
#
Analysis ID:
MC_FBA_TTBAR
Hist ID:
/MC_FBA_TTBAR/highMtt.pTttbar.bw
Pythia 6 (Def):
data
|
generator card
Pythia 8 (Def):
data
|
generator card
details
Download as:
.pdf
.eps
.png
.script
#
Analysis ID:
MC_FBA_TTBAR
Hist ID:
/MC_FBA_TTBAR/highMtt.pTttbar.fw
Pythia 6 (Def):
data
|
generator card
Pythia 8 (Def):
data
|
generator card
details
Download as:
.pdf
.eps
.png
.script
#
Analysis ID:
MC_FBA_TTBAR
Hist ID:
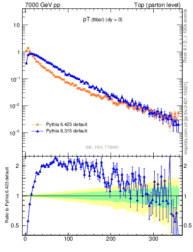
/MC_FBA_TTBAR/lowMtt.pTttbar.all
Pythia 6 (Def):
data
|
generator card
Pythia 8 (Def):
data
|
generator card
details
Download as:
.pdf
.eps
.png
.script
#
Analysis ID:
MC_FBA_TTBAR
Hist ID:
/MC_FBA_TTBAR/lowMtt.pTttbar.bw
Pythia 6 (Def):
data
|
generator card
Pythia 8 (Def):
data
|
generator card
details
Download as:
.pdf
.eps
.png
.script
#
Analysis ID:
MC_FBA_TTBAR
Hist ID:
/MC_FBA_TTBAR/lowMtt.pTttbar.fw
Pythia 6 (Def):
data
|
generator card
Pythia 8 (Def):
data
|
generator card
ppbar @ 1960 GeV
details
Download as:
.pdf
.eps
.png
.script
#
Analysis ID:
MC_FBA_TTBAR
Hist ID:
/MC_FBA_TTBAR/pTttbar.all
Pythia 6 (Def):
data
|
generator card
Pythia 8 (Def):
data
|
generator card
details
Download as:
.pdf
.eps
.png
.script
#
Analysis ID:
MC_FBA_TTBAR
Hist ID:
/MC_FBA_TTBAR/pTttbar.bw
Pythia 6 (Def):
data
|
generator card
Pythia 8 (Def):
data
|
generator card
details
Download as:
.pdf
.eps
.png
.script
#
Analysis ID:
MC_FBA_TTBAR
Hist ID:
/MC_FBA_TTBAR/pTttbar.fw
Pythia 6 (Def):
data
|
generator card
Pythia 8 (Def):
data
|
generator card
details
Download as:
.pdf
.eps
.png
.script
#
Analysis ID:
MC_FBA_TTBAR
Hist ID:
/MC_FBA_TTBAR/highMtt.pTttbar.all
Pythia 6 (Def):
data
|
generator card
Pythia 8 (Def):
data
|
generator card
details
Download as:
.pdf
.eps
.png
.script
#
Analysis ID:
MC_FBA_TTBAR
Hist ID:
/MC_FBA_TTBAR/highMtt.pTttbar.bw
Pythia 6 (Def):
data
|
generator card
Pythia 8 (Def):
data
|
generator card
details
Download as:
.pdf
.eps
.png
.script
#
Analysis ID:
MC_FBA_TTBAR
Hist ID:
/MC_FBA_TTBAR/highMtt.pTttbar.fw
Pythia 6 (Def):
data
|
generator card
Pythia 8 (Def):
data
|
generator card
details
Download as:
.pdf
.eps
.png
.script
#
Analysis ID:
MC_FBA_TTBAR
Hist ID:
/MC_FBA_TTBAR/lowMtt.pTttbar.all
Pythia 6 (Def):
data
|
generator card
Pythia 8 (Def):
data
|
generator card
details
Download as:
.pdf
.eps
.png
.script
#
Analysis ID:
MC_FBA_TTBAR
Hist ID:
/MC_FBA_TTBAR/lowMtt.pTttbar.bw
Pythia 6 (Def):
data
|
generator card
Pythia 8 (Def):
data
|
generator card
details
Download as:
.pdf
.eps
.png
.script
#
Analysis ID:
MC_FBA_TTBAR
Hist ID:
/MC_FBA_TTBAR/lowMtt.pTttbar.fw
Pythia 6 (Def):
data
|
generator card
Pythia 8 (Def):
data
|
generator card