LHC@HOME
CARDS
COMPARISON
Tunes
Generators
PLOTS
4-lepton
b
b
Elastic
Heavy Ion : minbias
Jets
Soft QCD (inelastic)
Soft QCD (nsd only)
Total σ
Top (t-channel)
Top (all)
Top (parton level)
Top (t
t
)
Underlying Event
W+Jet
W
WW
Z+Jet
ee : γ*/Z (hadronic)
Z (Drell-Yan)
ABOUT
Top (t
t
)
Asymmetry
A
C
vs M
ttbar
A
C
vs pT
ttbar
A
C
vs y
ttbar
A
C
l
vs M
ttbar
A
C
l
vs pT
ttbar
A
C
l
vs y
ttbar
Energy asymmetry
B jet
η
p
T
bjbj.m
bjbj.pt
bjt.dphi
ej.pt
ejej.dphi
ΔR(extra jets)
ejets.ht
ΔR(extra, leading jet)
ΔR(top, extra jet)
Jet p
T
Lepton η
Lepton p
T
Δφ(lepton,jet)
S
T
(leptons, jets)
nch
sumpt
P
out
top
Top p
T
top.pt.ttbarRF
Top rapidity
topej.dphi
topej.m
χ(ttbar)
Δφ(ttbar)
Δy (ttbar)
ttbar HT
m(ttbar)
P
cross
ttbar
ttbar p
T
ttbar.thetaStar
Ttbar rapidity
Mean rapidity
ttbarej.ht
ttbarej.m
Cross sections
p
T
ratio
Extra jets
Extra to leading jet
Extra jet to Top
Top quarks
ttbar to extra jet
W to b
W to top
Jets + Veto
Gap frac. vs Veto scale
Gap frac. vs scalar veto scale
Jet mass
Jet mass
Dijet mass
Dijet
Δη
Δφ
H
T
Jet Shapes
Differential Jet Shape
Integral Jet Shape
Identified Particles
E(K
S
0
)
η(K
S
0
)
p
T
(K
S
0
)
E(K
S
0
) to E(jet) ratio
E(Λ
0
)
η(Λ
0
)
p
T
(Λ
0
)
Dilepton
Δη
Δφ
E
H
T
m
p
T
y
Jet Multiplicities
Extra jets multiplicity
Jet multiplicity
Subjet multiplicity
Top (t
t
) : ttbar p
T
Pythia 6 : Main
General-Purpose MCs
Main
Herwig vs Pythia
Pythia 6 vs 8
All C++ Generators
Soft-Inclusive MCs
Min-Bias Tunes
UE Tunes
EPOS vs Pythia
Pythia 8
Matched/Merged MCs
Main
vs GPMCs
Powheg-Box
Herwig
Main
Herwig++
Powheg
Herwig7 vs Pythia
Herwig7 vs Sherpa
Pythia 8
Main
A14
AU2-PDFs
Diffraction
LEP
Rad Variations
No CR
4Cx
Tevatron
Py8 vs Py6
Py8 vs Herwig
Py8 vs Sherpa
Pythia 6
Main
Py6 vs Py8
P12-RadFrag
P12-MpiCR
AMBT2 vs Z2
AUET2B-PDFs
P12-PDFs
CTEQ6 vs LO*
IBK LOPDFs
IBK NLOPDFs
Perugia History
P11-All
LHC tunes
Tevatron
Old vs P12
Sherpa
Main
Matching/Merging
Customize
ℹ️
Choose generators/versions/tunes to plot : either from a pre-defined preset (left button) or from all available MCs (right button)
pp @ 13000 GeV
details
Download as:
.pdf
.eps
.png
.script
#
Analysis ID:
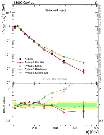
ATLAS_2019_I1750330
Hist ID:
/ATLAS_2019_I1750330/d99-x01-y01
ATLAS experiment:
data
|
article paper
|
hepdata
Pythia 6 (370:P2012):
data
|
generator card
Pythia 6 (391:ICT6L):
data
|
generator card
Pythia 6 (Def):
data
|
generator card
Pythia 6 (129:Pro-Q2O):
data
|
generator card
details
Download as:
.pdf
.eps
.png
.script
#
Analysis ID:
ATLAS_2019_I1750330
Hist ID:
/ATLAS_2019_I1750330/d24-x01-y01
ATLAS experiment:
data
|
article paper
|
hepdata
Pythia 6 (370:P2012):
data
|
generator card
Pythia 6 (391:ICT6L):
data
|
generator card
Pythia 6 (Def):
data
|
generator card
Pythia 6 (129:Pro-Q2O):
data
|
generator card
details
Download as:
.pdf
.eps
.png
.script
#
Analysis ID:
ATLAS_2019_I1750330
Hist ID:
/ATLAS_2019_I1750330/d435-x01-y01
ATLAS experiment:
data
|
article paper
|
hepdata
Pythia 6 (370:P2012):
data
|
generator card
Pythia 6 (391:ICT6L):
data
|
generator card
Pythia 6 (Def):
data
|
generator card
Pythia 6 (129:Pro-Q2O):
data
|
generator card
details
Download as:
.pdf
.eps
.png
.script
#
Analysis ID:
ATLAS_2019_I1750330
Hist ID:
/ATLAS_2019_I1750330/d436-x01-y01
ATLAS experiment:
data
|
article paper
|
hepdata
Pythia 6 (370:P2012):
data
|
generator card
Pythia 6 (391:ICT6L):
data
|
generator card
Pythia 6 (Def):
data
|
generator card
Pythia 6 (129:Pro-Q2O):
data
|
generator card
details
Download as:
.pdf
.eps
.png
.script
#
Analysis ID:
ATLAS_2019_I1750330
Hist ID:
/ATLAS_2019_I1750330/d437-x01-y01
ATLAS experiment:
data
|
article paper
|
hepdata
Pythia 6 (370:P2012):
data
|
generator card
Pythia 6 (391:ICT6L):
data
|
generator card
Pythia 6 (Def):
data
|
generator card
Pythia 6 (129:Pro-Q2O):
data
|
generator card
details
Download as:
.pdf
.eps
.png
.script
#
Analysis ID:
ATLAS_2019_I1750330
Hist ID:
/ATLAS_2019_I1750330/d438-x01-y01
ATLAS experiment:
data
|
article paper
|
hepdata
Pythia 6 (370:P2012):
data
|
generator card
Pythia 6 (391:ICT6L):
data
|
generator card
Pythia 6 (Def):
data
|
generator card
Pythia 6 (129:Pro-Q2O):
data
|
generator card
details
Download as:
.pdf
.eps
.png
.script
#
Analysis ID:
ATLAS_2019_I1750330
Hist ID:
/ATLAS_2019_I1750330/d449-x01-y01
ATLAS experiment:
data
|
article paper
|
hepdata
Pythia 6 (370:P2012):
data
|
generator card
Pythia 6 (391:ICT6L):
data
|
generator card
Pythia 6 (Def):
data
|
generator card
Pythia 6 (129:Pro-Q2O):
data
|
generator card
details
Download as:
.pdf
.eps
.png
.script
#
Analysis ID:
ATLAS_2019_I1750330
Hist ID:
/ATLAS_2019_I1750330/d450-x01-y01
ATLAS experiment:
data
|
article paper
|
hepdata
Pythia 6 (370:P2012):
data
|
generator card
Pythia 6 (391:ICT6L):
data
|
generator card
Pythia 6 (Def):
data
|
generator card
Pythia 6 (129:Pro-Q2O):
data
|
generator card
details
Download as:
.pdf
.eps
.png
.script
#
Analysis ID:
ATLAS_2019_I1750330
Hist ID:
/ATLAS_2019_I1750330/d451-x01-y01
ATLAS experiment:
data
|
article paper
|
hepdata
Pythia 6 (370:P2012):
data
|
generator card
Pythia 6 (391:ICT6L):
data
|
generator card
Pythia 6 (Def):
data
|
generator card
Pythia 6 (129:Pro-Q2O):
data
|
generator card
details
Download as:
.pdf
.eps
.png
.script
#
Analysis ID:
ATLAS_2019_I1750330
Hist ID:
/ATLAS_2019_I1750330/d452-x01-y01
ATLAS experiment:
data
|
article paper
|
hepdata
Pythia 6 (370:P2012):
data
|
generator card
Pythia 6 (391:ICT6L):
data
|
generator card
Pythia 6 (Def):
data
|
generator card
Pythia 6 (129:Pro-Q2O):
data
|
generator card
details
Download as:
.pdf
.eps
.png
.script
#
Analysis ID:
ATLAS_2019_I1750330
Hist ID:
/ATLAS_2019_I1750330/d857-x01-y01
ATLAS experiment:
data
|
article paper
|
hepdata
Pythia 6 (370:P2012):
data
|
generator card
Pythia 6 (391:ICT6L):
data
|
generator card
Pythia 6 (Def):
data
|
generator card
Pythia 6 (129:Pro-Q2O):
data
|
generator card
details
Download as:
.pdf
.eps
.png
.script
#
Analysis ID:
ATLAS_2019_I1750330
Hist ID:
/ATLAS_2019_I1750330/d859-x01-y01
ATLAS experiment:
data
|
article paper
|
hepdata
Pythia 6 (370:P2012):
data
|
generator card
Pythia 6 (391:ICT6L):
data
|
generator card
Pythia 6 (Def):
data
|
generator card
Pythia 6 (129:Pro-Q2O):
data
|
generator card
details
Download as:
.pdf
.eps
.png
.script
#
Analysis ID:
ATLAS_2019_I1750330
Hist ID:
/ATLAS_2019_I1750330/d95-x01-y01
ATLAS experiment:
data
|
article paper
|
hepdata
Pythia 6 (370:P2012):
data
|
generator card
Pythia 6 (391:ICT6L):
data
|
generator card
Pythia 6 (Def):
data
|
generator card
Pythia 6 (129:Pro-Q2O):
data
|
generator card
details
Download as:
.pdf
.eps
.png
.script
#
Analysis ID:
ATLAS_2019_I1750330
Hist ID:
/ATLAS_2019_I1750330/d96-x01-y01
ATLAS experiment:
data
|
article paper
|
hepdata
Pythia 6 (370:P2012):
data
|
generator card
Pythia 6 (391:ICT6L):
data
|
generator card
Pythia 6 (Def):
data
|
generator card
Pythia 6 (129:Pro-Q2O):
data
|
generator card
details
Download as:
.pdf
.eps
.png
.script
#
Analysis ID:
ATLAS_2019_I1750330
Hist ID:
/ATLAS_2019_I1750330/d97-x01-y01
ATLAS experiment:
data
|
article paper
|
hepdata
Pythia 6 (370:P2012):
data
|
generator card
Pythia 6 (391:ICT6L):
data
|
generator card
Pythia 6 (Def):
data
|
generator card
Pythia 6 (129:Pro-Q2O):
data
|
generator card
details
Download as:
.pdf
.eps
.png
.script
#
Analysis ID:
ATLAS_2019_I1750330
Hist ID:
/ATLAS_2019_I1750330/d98-x01-y01
ATLAS experiment:
data
|
article paper
|
hepdata
Pythia 6 (370:P2012):
data
|
generator card
Pythia 6 (391:ICT6L):
data
|
generator card
Pythia 6 (Def):
data
|
generator card
Pythia 6 (129:Pro-Q2O):
data
|
generator card
details
Download as:
.pdf
.eps
.png
.script
#
Analysis ID:
ATLAS_2019_I1750330
Hist ID:
/ATLAS_2019_I1750330/d238-x01-y01
ATLAS experiment:
data
|
article paper
|
hepdata
Pythia 6 (370:P2012):
data
|
generator card
Pythia 6 (391:ICT6L):
data
|
generator card
Pythia 6 (Def):
data
|
generator card
Pythia 6 (129:Pro-Q2O):
data
|
generator card
details
Download as:
.pdf
.eps
.png
.script
#
Analysis ID:
ATLAS_2019_I1750330
Hist ID:
/ATLAS_2019_I1750330/d237-x01-y01
ATLAS experiment:
data
|
article paper
|
hepdata
Pythia 6 (370:P2012):
data
|
generator card
Pythia 6 (391:ICT6L):
data
|
generator card
Pythia 6 (Def):
data
|
generator card
Pythia 6 (129:Pro-Q2O):
data
|
generator card
details
Download as:
.pdf
.eps
.png
.script
#
Analysis ID:
ATLAS_2019_I1750330
Hist ID:
/ATLAS_2019_I1750330/d1002-x01-y01
ATLAS experiment:
data
|
article paper
|
hepdata
Pythia 6 (370:P2012):
data
|
generator card
Pythia 6 (391:ICT6L):
data
|
generator card
Pythia 6 (Def):
data
|
generator card
Pythia 6 (129:Pro-Q2O):
data
|
generator card
details
Download as:
.pdf
.eps
.png
.script
#
Analysis ID:
ATLAS_2019_I1750330
Hist ID:
/ATLAS_2019_I1750330/d1003-x01-y01
ATLAS experiment:
data
|
article paper
|
hepdata
Pythia 6 (370:P2012):
data
|
generator card
Pythia 6 (391:ICT6L):
data
|
generator card
Pythia 6 (Def):
data
|
generator card
Pythia 6 (129:Pro-Q2O):
data
|
generator card
details
Download as:
.pdf
.eps
.png
.script
#
Analysis ID:
ATLAS_2019_I1750330
Hist ID:
/ATLAS_2019_I1750330/d1007-x01-y01
ATLAS experiment:
data
|
article paper
|
hepdata
Pythia 6 (370:P2012):
data
|
generator card
Pythia 6 (391:ICT6L):
data
|
generator card
Pythia 6 (Def):
data
|
generator card
Pythia 6 (129:Pro-Q2O):
data
|
generator card
details
Download as:
.pdf
.eps
.png
.script
#
Analysis ID:
ATLAS_2019_I1750330
Hist ID:
/ATLAS_2019_I1750330/d1008-x01-y01
ATLAS experiment:
data
|
article paper
|
hepdata
Pythia 6 (370:P2012):
data
|
generator card
Pythia 6 (391:ICT6L):
data
|
generator card
Pythia 6 (Def):
data
|
generator card
Pythia 6 (129:Pro-Q2O):
data
|
generator card
details
Download as:
.pdf
.eps
.png
.script
#
Analysis ID:
ATLAS_2019_I1750330
Hist ID:
/ATLAS_2019_I1750330/d115-x01-y01
ATLAS experiment:
data
|
article paper
|
hepdata
Pythia 6 (370:P2012):
data
|
generator card
Pythia 6 (391:ICT6L):
data
|
generator card
Pythia 6 (Def):
data
|
generator card
Pythia 6 (129:Pro-Q2O):
data
|
generator card
details
Download as:
.pdf
.eps
.png
.script
#
Analysis ID:
ATLAS_2019_I1750330
Hist ID:
/ATLAS_2019_I1750330/d116-x01-y01
ATLAS experiment:
data
|
article paper
|
hepdata
Pythia 6 (370:P2012):
data
|
generator card
Pythia 6 (391:ICT6L):
data
|
generator card
Pythia 6 (Def):
data
|
generator card
Pythia 6 (129:Pro-Q2O):
data
|
generator card
details
Download as:
.pdf
.eps
.png
.script
#
Analysis ID:
ATLAS_2019_I1750330
Hist ID:
/ATLAS_2019_I1750330/d117-x01-y01
ATLAS experiment:
data
|
article paper
|
hepdata
Pythia 6 (370:P2012):
data
|
generator card
Pythia 6 (391:ICT6L):
data
|
generator card
Pythia 6 (Def):
data
|
generator card
Pythia 6 (129:Pro-Q2O):
data
|
generator card
details
Download as:
.pdf
.eps
.png
.script
#
Analysis ID:
ATLAS_2019_I1750330
Hist ID:
/ATLAS_2019_I1750330/d118-x01-y01
ATLAS experiment:
data
|
article paper
|
hepdata
Pythia 6 (370:P2012):
data
|
generator card
Pythia 6 (391:ICT6L):
data
|
generator card
Pythia 6 (Def):
data
|
generator card
Pythia 6 (129:Pro-Q2O):
data
|
generator card
details
Download as:
.pdf
.eps
.png
.script
#
Analysis ID:
ATLAS_2019_I1750330
Hist ID:
/ATLAS_2019_I1750330/d119-x01-y01
ATLAS experiment:
data
|
article paper
|
hepdata
Pythia 6 (370:P2012):
data
|
generator card
Pythia 6 (391:ICT6L):
data
|
generator card
Pythia 6 (Def):
data
|
generator card
Pythia 6 (129:Pro-Q2O):
data
|
generator card
details
Download as:
.pdf
.eps
.png
.script
#
Analysis ID:
ATLAS_2019_I1750330
Hist ID:
/ATLAS_2019_I1750330/d236-x01-y01
ATLAS experiment:
data
|
article paper
|
hepdata
Pythia 6 (370:P2012):
data
|
generator card
Pythia 6 (391:ICT6L):
data
|
generator card
Pythia 6 (Def):
data
|
generator card
Pythia 6 (129:Pro-Q2O):
data
|
generator card
details
Download as:
.pdf
.eps
.png
.script
#
Analysis ID:
ATLAS_2019_I1750330
Hist ID:
/ATLAS_2019_I1750330/d235-x01-y01
ATLAS experiment:
data
|
article paper
|
hepdata
Pythia 6 (370:P2012):
data
|
generator card
Pythia 6 (391:ICT6L):
data
|
generator card
Pythia 6 (Def):
data
|
generator card
Pythia 6 (129:Pro-Q2O):
data
|
generator card
details
Download as:
.pdf
.eps
.png
.script
#
Analysis ID:
ATLAS_2019_I1750330
Hist ID:
/ATLAS_2019_I1750330/d22-x01-y01
ATLAS experiment:
data
|
article paper
|
hepdata
Pythia 6 (370:P2012):
data
|
generator card
Pythia 6 (391:ICT6L):
data
|
generator card
Pythia 6 (Def):
data
|
generator card
Pythia 6 (129:Pro-Q2O):
data
|
generator card
details
Download as:
.pdf
.eps
.png
.script
#
Analysis ID:
ATLAS_2019_I1750330
Hist ID:
/ATLAS_2019_I1750330/d224-x01-y01
ATLAS experiment:
data
|
article paper
|
hepdata
Pythia 6 (370:P2012):
data
|
generator card
Pythia 6 (391:ICT6L):
data
|
generator card
Pythia 6 (Def):
data
|
generator card
Pythia 6 (129:Pro-Q2O):
data
|
generator card
details
Download as:
.pdf
.eps
.png
.script
#
Analysis ID:
ATLAS_2019_I1750330
Hist ID:
/ATLAS_2019_I1750330/d223-x01-y01
ATLAS experiment:
data
|
article paper
|
hepdata
Pythia 6 (370:P2012):
data
|
generator card
Pythia 6 (391:ICT6L):
data
|
generator card
Pythia 6 (Def):
data
|
generator card
Pythia 6 (129:Pro-Q2O):
data
|
generator card
details
Download as:
.pdf
.eps
.png
.script
#
Analysis ID:
ATLAS_2019_I1750330
Hist ID:
/ATLAS_2019_I1750330/d222-x01-y01
ATLAS experiment:
data
|
article paper
|
hepdata
Pythia 6 (370:P2012):
data
|
generator card
Pythia 6 (391:ICT6L):
data
|
generator card
Pythia 6 (Def):
data
|
generator card
Pythia 6 (129:Pro-Q2O):
data
|
generator card
details
Download as:
.pdf
.eps
.png
.script
#
Analysis ID:
ATLAS_2019_I1750330
Hist ID:
/ATLAS_2019_I1750330/d221-x01-y01
ATLAS experiment:
data
|
article paper
|
hepdata
Pythia 6 (370:P2012):
data
|
generator card
Pythia 6 (391:ICT6L):
data
|
generator card
Pythia 6 (Def):
data
|
generator card
Pythia 6 (129:Pro-Q2O):
data
|
generator card
details
Download as:
.pdf
.eps
.png
.script
#
Analysis ID:
ATLAS_2020_I1801434
Hist ID:
/ATLAS_2020_I1801434/d351-x01-y01
ATLAS experiment:
data
|
article paper
|
hepdata
Pythia 6 (370:P2012):
data
|
generator card
Pythia 6 (391:ICT6L):
data
|
generator card
Pythia 6 (Def):
data
|
generator card
Pythia 6 (129:Pro-Q2O):
data
|
generator card
details
Download as:
.pdf
.eps
.png
.script
#
Analysis ID:
ATLAS_2020_I1801434
Hist ID:
/ATLAS_2020_I1801434/d336-x01-y01
ATLAS experiment:
data
|
article paper
|
hepdata
Pythia 6 (370:P2012):
data
|
generator card
Pythia 6 (391:ICT6L):
data
|
generator card
Pythia 6 (Def):
data
|
generator card
Pythia 6 (129:Pro-Q2O):
data
|
generator card
details
Download as:
.pdf
.eps
.png
.script
#
Analysis ID:
ATLAS_2020_I1801434
Hist ID:
/ATLAS_2020_I1801434/d337-x01-y01
ATLAS experiment:
data
|
article paper
|
hepdata
Pythia 6 (370:P2012):
data
|
generator card
Pythia 6 (391:ICT6L):
data
|
generator card
Pythia 6 (Def):
data
|
generator card
Pythia 6 (129:Pro-Q2O):
data
|
generator card
details
Download as:
.pdf
.eps
.png
.script
#
Analysis ID:
ATLAS_2020_I1801434
Hist ID:
/ATLAS_2020_I1801434/d338-x01-y01
ATLAS experiment:
data
|
article paper
|
hepdata
Pythia 6 (370:P2012):
data
|
generator card
Pythia 6 (391:ICT6L):
data
|
generator card
Pythia 6 (Def):
data
|
generator card
Pythia 6 (129:Pro-Q2O):
data
|
generator card
details
Download as:
.pdf
.eps
.png
.script
#
Analysis ID:
ATLAS_2020_I1801434
Hist ID:
/ATLAS_2020_I1801434/d350-x01-y01
ATLAS experiment:
data
|
article paper
|
hepdata
Pythia 6 (370:P2012):
data
|
generator card
Pythia 6 (391:ICT6L):
data
|
generator card
Pythia 6 (Def):
data
|
generator card
Pythia 6 (129:Pro-Q2O):
data
|
generator card
details
Download as:
.pdf
.eps
.png
.script
#
Analysis ID:
ATLAS_2020_I1801434
Hist ID:
/ATLAS_2020_I1801434/d349-x01-y01
ATLAS experiment:
data
|
article paper
|
hepdata
Pythia 6 (370:P2012):
data
|
generator card
Pythia 6 (391:ICT6L):
data
|
generator card
Pythia 6 (Def):
data
|
generator card
Pythia 6 (129:Pro-Q2O):
data
|
generator card
details
Download as:
.pdf
.eps
.png
.script
#
Analysis ID:
ATLAS_2020_I1801434
Hist ID:
/ATLAS_2020_I1801434/d352-x01-y01
ATLAS experiment:
data
|
article paper
|
hepdata
Pythia 6 (370:P2012):
data
|
generator card
Pythia 6 (391:ICT6L):
data
|
generator card
Pythia 6 (Def):
data
|
generator card
Pythia 6 (129:Pro-Q2O):
data
|
generator card
details
Download as:
.pdf
.eps
.png
.script
#
Analysis ID:
ATLAS_2020_I1801434
Hist ID:
/ATLAS_2020_I1801434/d335-x01-y01
ATLAS experiment:
data
|
article paper
|
hepdata
Pythia 6 (370:P2012):
data
|
generator card
Pythia 6 (391:ICT6L):
data
|
generator card
Pythia 6 (Def):
data
|
generator card
Pythia 6 (129:Pro-Q2O):
data
|
generator card
details
Download as:
.pdf
.eps
.png
.script
#
Analysis ID:
ATLAS_2020_I1801434
Hist ID:
/ATLAS_2020_I1801434/d32-x01-y01
ATLAS experiment:
data
|
article paper
|
hepdata
Pythia 6 (370:P2012):
data
|
generator card
Pythia 6 (391:ICT6L):
data
|
generator card
Pythia 6 (Def):
data
|
generator card
Pythia 6 (129:Pro-Q2O):
data
|
generator card
details
Download as:
.pdf
.eps
.png
.script
#
Analysis ID:
ATLAS_2020_I1801434
Hist ID:
/ATLAS_2020_I1801434/d212-x01-y01
ATLAS experiment:
data
|
article paper
|
hepdata
Pythia 6 (370:P2012):
data
|
generator card
Pythia 6 (391:ICT6L):
data
|
generator card
Pythia 6 (Def):
data
|
generator card
Pythia 6 (129:Pro-Q2O):
data
|
generator card
details
Download as:
.pdf
.eps
.png
.script
#
Analysis ID:
ATLAS_2020_I1801434
Hist ID:
/ATLAS_2020_I1801434/d195-x01-y01
ATLAS experiment:
data
|
article paper
|
hepdata
Pythia 6 (370:P2012):
data
|
generator card
Pythia 6 (391:ICT6L):
data
|
generator card
Pythia 6 (Def):
data
|
generator card
Pythia 6 (129:Pro-Q2O):
data
|
generator card
details
Download as:
.pdf
.eps
.png
.script
#
Analysis ID:
ATLAS_2020_I1801434
Hist ID:
/ATLAS_2020_I1801434/d196-x01-y01
ATLAS experiment:
data
|
article paper
|
hepdata
Pythia 6 (370:P2012):
data
|
generator card
Pythia 6 (391:ICT6L):
data
|
generator card
Pythia 6 (Def):
data
|
generator card
Pythia 6 (129:Pro-Q2O):
data
|
generator card
details
Download as:
.pdf
.eps
.png
.script
#
Analysis ID:
ATLAS_2020_I1801434
Hist ID:
/ATLAS_2020_I1801434/d197-x01-y01
ATLAS experiment:
data
|
article paper
|
hepdata
Pythia 6 (370:P2012):
data
|
generator card
Pythia 6 (391:ICT6L):
data
|
generator card
Pythia 6 (Def):
data
|
generator card
Pythia 6 (129:Pro-Q2O):
data
|
generator card
details
Download as:
.pdf
.eps
.png
.script
#
Analysis ID:
ATLAS_2020_I1801434
Hist ID:
/ATLAS_2020_I1801434/d198-x01-y01
ATLAS experiment:
data
|
article paper
|
hepdata
Pythia 6 (370:P2012):
data
|
generator card
Pythia 6 (391:ICT6L):
data
|
generator card
Pythia 6 (Def):
data
|
generator card
Pythia 6 (129:Pro-Q2O):
data
|
generator card
details
Download as:
.pdf
.eps
.png
.script
#
Analysis ID:
ATLAS_2020_I1801434
Hist ID:
/ATLAS_2020_I1801434/d209-x01-y01
ATLAS experiment:
data
|
article paper
|
hepdata
Pythia 6 (370:P2012):
data
|
generator card
Pythia 6 (391:ICT6L):
data
|
generator card
Pythia 6 (Def):
data
|
generator card
Pythia 6 (129:Pro-Q2O):
data
|
generator card
details
Download as:
.pdf
.eps
.png
.script
#
Analysis ID:
ATLAS_2020_I1801434
Hist ID:
/ATLAS_2020_I1801434/d211-x01-y01
ATLAS experiment:
data
|
article paper
|
hepdata
Pythia 6 (370:P2012):
data
|
generator card
Pythia 6 (391:ICT6L):
data
|
generator card
Pythia 6 (Def):
data
|
generator card
Pythia 6 (129:Pro-Q2O):
data
|
generator card
details
Download as:
.pdf
.eps
.png
.script
#
Analysis ID:
ATLAS_2020_I1801434
Hist ID:
/ATLAS_2020_I1801434/d30-x01-y01
ATLAS experiment:
data
|
article paper
|
hepdata
Pythia 6 (370:P2012):
data
|
generator card
Pythia 6 (391:ICT6L):
data
|
generator card
Pythia 6 (Def):
data
|
generator card
Pythia 6 (129:Pro-Q2O):
data
|
generator card
details
Download as:
.pdf
.eps
.png
.script
#
Analysis ID:
ATLAS_2020_I1801434
Hist ID:
/ATLAS_2020_I1801434/d210-x01-y01
ATLAS experiment:
data
|
article paper
|
hepdata
Pythia 6 (370:P2012):
data
|
generator card
Pythia 6 (391:ICT6L):
data
|
generator card
Pythia 6 (Def):
data
|
generator card
Pythia 6 (129:Pro-Q2O):
data
|
generator card
details
Download as:
.pdf
.eps
.png
.script
#
Analysis ID:
ATLAS_2022_I2077575
Hist ID:
/ATLAS_2022_I2077575/d35-x01-y01
ATLAS experiment:
data
|
article paper
|
hepdata
Pythia 6 (370:P2012):
data
|
generator card
Pythia 6 (391:ICT6L):
data
|
generator card
Pythia 6 (Def):
data
|
generator card
Pythia 6 (129:Pro-Q2O):
data
|
generator card
details
Download as:
.pdf
.eps
.png
.script
#
Analysis ID:
ATLAS_2022_I2077575
Hist ID:
/ATLAS_2022_I2077575/d34-x01-y01
ATLAS experiment:
data
|
article paper
|
hepdata
Pythia 6 (370:P2012):
data
|
generator card
Pythia 6 (391:ICT6L):
data
|
generator card
Pythia 6 (Def):
data
|
generator card
Pythia 6 (129:Pro-Q2O):
data
|
generator card
details
Download as:
.pdf
.eps
.png
.script
#
Analysis ID:
ATLAS_2022_I2077575
Hist ID:
/ATLAS_2022_I2077575/d36-x01-y01
ATLAS experiment:
data
|
article paper
|
hepdata
Pythia 6 (370:P2012):
data
|
generator card
Pythia 6 (391:ICT6L):
data
|
generator card
Pythia 6 (Def):
data
|
generator card
Pythia 6 (129:Pro-Q2O):
data
|
generator card
details
Download as:
.pdf
.eps
.png
.script
#
Analysis ID:
ATLAS_2022_I2077575
Hist ID:
/ATLAS_2022_I2077575/d37-x01-y01
ATLAS experiment:
data
|
article paper
|
hepdata
Pythia 6 (370:P2012):
data
|
generator card
Pythia 6 (391:ICT6L):
data
|
generator card
Pythia 6 (Def):
data
|
generator card
Pythia 6 (129:Pro-Q2O):
data
|
generator card
details
Download as:
.pdf
.eps
.png
.script
#
Analysis ID:
ATLAS_2022_I2077575
Hist ID:
/ATLAS_2022_I2077575/d62-x01-y01
ATLAS experiment:
data
|
article paper
|
hepdata
Pythia 6 (370:P2012):
data
|
generator card
Pythia 6 (391:ICT6L):
data
|
generator card
Pythia 6 (Def):
data
|
generator card
Pythia 6 (129:Pro-Q2O):
data
|
generator card
details
Download as:
.pdf
.eps
.png
.script
#
Analysis ID:
ATLAS_2022_I2077575
Hist ID:
/ATLAS_2022_I2077575/d64-x01-y01
ATLAS experiment:
data
|
article paper
|
hepdata
Pythia 6 (370:P2012):
data
|
generator card
Pythia 6 (391:ICT6L):
data
|
generator card
Pythia 6 (Def):
data
|
generator card
Pythia 6 (129:Pro-Q2O):
data
|
generator card
details
Download as:
.pdf
.eps
.png
.script
#
Analysis ID:
ATLAS_2022_I2077575
Hist ID:
/ATLAS_2022_I2077575/d65-x01-y01
ATLAS experiment:
data
|
article paper
|
hepdata
Pythia 6 (370:P2012):
data
|
generator card
Pythia 6 (391:ICT6L):
data
|
generator card
Pythia 6 (Def):
data
|
generator card
Pythia 6 (129:Pro-Q2O):
data
|
generator card
details
Download as:
.pdf
.eps
.png
.script
#
Analysis ID:
ATLAS_2022_I2077575
Hist ID:
/ATLAS_2022_I2077575/d82-x01-y01
ATLAS experiment:
data
|
article paper
|
hepdata
Pythia 6 (370:P2012):
data
|
generator card
Pythia 6 (391:ICT6L):
data
|
generator card
Pythia 6 (Def):
data
|
generator card
Pythia 6 (129:Pro-Q2O):
data
|
generator card
details
Download as:
.pdf
.eps
.png
.script
#
Analysis ID:
ATLAS_2022_I2077575
Hist ID:
/ATLAS_2022_I2077575/d63-x01-y01
ATLAS experiment:
data
|
article paper
|
hepdata
Pythia 6 (370:P2012):
data
|
generator card
Pythia 6 (391:ICT6L):
data
|
generator card
Pythia 6 (Def):
data
|
generator card
Pythia 6 (129:Pro-Q2O):
data
|
generator card
details
Download as:
.pdf
.eps
.png
.script
#
Analysis ID:
ATLAS_2022_I2077575
Hist ID:
/ATLAS_2022_I2077575/d106-x01-y01
ATLAS experiment:
data
|
article paper
|
hepdata
Pythia 6 (370:P2012):
data
|
generator card
Pythia 6 (391:ICT6L):
data
|
generator card
Pythia 6 (Def):
data
|
generator card
Pythia 6 (129:Pro-Q2O):
data
|
generator card
details
Download as:
.pdf
.eps
.png
.script
#
Analysis ID:
ATLAS_2022_I2077575
Hist ID:
/ATLAS_2022_I2077575/d10-x01-y01
ATLAS experiment:
data
|
article paper
|
hepdata
Pythia 6 (370:P2012):
data
|
generator card
Pythia 6 (391:ICT6L):
data
|
generator card
Pythia 6 (Def):
data
|
generator card
Pythia 6 (129:Pro-Q2O):
data
|
generator card
details
Download as:
.pdf
.eps
.png
.script
#
Analysis ID:
ATLAS_2022_I2077575
Hist ID:
/ATLAS_2022_I2077575/d134-x01-y01
ATLAS experiment:
data
|
article paper
|
hepdata
Pythia 6 (370:P2012):
data
|
generator card
Pythia 6 (391:ICT6L):
data
|
generator card
Pythia 6 (Def):
data
|
generator card
Pythia 6 (129:Pro-Q2O):
data
|
generator card
details
Download as:
.pdf
.eps
.png
.script
#
Analysis ID:
ATLAS_2022_I2077575
Hist ID:
/ATLAS_2022_I2077575/d135-x01-y01
ATLAS experiment:
data
|
article paper
|
hepdata
Pythia 6 (370:P2012):
data
|
generator card
Pythia 6 (391:ICT6L):
data
|
generator card
Pythia 6 (Def):
data
|
generator card
Pythia 6 (129:Pro-Q2O):
data
|
generator card
details
Download as:
.pdf
.eps
.png
.script
#
Analysis ID:
ATLAS_2022_I2077575
Hist ID:
/ATLAS_2022_I2077575/d109-x01-y01
ATLAS experiment:
data
|
article paper
|
hepdata
Pythia 6 (370:P2012):
data
|
generator card
Pythia 6 (391:ICT6L):
data
|
generator card
Pythia 6 (Def):
data
|
generator card
Pythia 6 (129:Pro-Q2O):
data
|
generator card
details
Download as:
.pdf
.eps
.png
.script
#
Analysis ID:
ATLAS_2022_I2077575
Hist ID:
/ATLAS_2022_I2077575/d136-x01-y01
ATLAS experiment:
data
|
article paper
|
hepdata
Pythia 6 (370:P2012):
data
|
generator card
Pythia 6 (391:ICT6L):
data
|
generator card
Pythia 6 (Def):
data
|
generator card
Pythia 6 (129:Pro-Q2O):
data
|
generator card
details
Download as:
.pdf
.eps
.png
.script
#
Analysis ID:
ATLAS_2022_I2077575
Hist ID:
/ATLAS_2022_I2077575/d137-x01-y01
ATLAS experiment:
data
|
article paper
|
hepdata
Pythia 6 (370:P2012):
data
|
generator card
Pythia 6 (391:ICT6L):
data
|
generator card
Pythia 6 (Def):
data
|
generator card
Pythia 6 (129:Pro-Q2O):
data
|
generator card
details
Download as:
.pdf
.eps
.png
.script
#
Analysis ID:
ATLAS_2022_I2077575
Hist ID:
/ATLAS_2022_I2077575/d108-x01-y01
ATLAS experiment:
data
|
article paper
|
hepdata
Pythia 6 (370:P2012):
data
|
generator card
Pythia 6 (391:ICT6L):
data
|
generator card
Pythia 6 (Def):
data
|
generator card
Pythia 6 (129:Pro-Q2O):
data
|
generator card
details
Download as:
.pdf
.eps
.png
.script
#
Analysis ID:
ATLAS_2022_I2077575
Hist ID:
/ATLAS_2022_I2077575/d107-x01-y01
ATLAS experiment:
data
|
article paper
|
hepdata
Pythia 6 (370:P2012):
data
|
generator card
Pythia 6 (391:ICT6L):
data
|
generator card
Pythia 6 (Def):
data
|
generator card
Pythia 6 (129:Pro-Q2O):
data
|
generator card
details
Download as:
.pdf
.eps
.png
.script
#
Analysis ID:
ATLAS_2022_I2077575
Hist ID:
/ATLAS_2022_I2077575/d254-x01-y01
ATLAS experiment:
data
|
article paper
|
hepdata
Pythia 6 (370:P2012):
data
|
generator card
Pythia 6 (391:ICT6L):
data
|
generator card
Pythia 6 (Def):
data
|
generator card
Pythia 6 (129:Pro-Q2O):
data
|
generator card
details
Download as:
.pdf
.eps
.png
.script
#
Analysis ID:
ATLAS_2022_I2077575
Hist ID:
/ATLAS_2022_I2077575/d253-x01-y01
ATLAS experiment:
data
|
article paper
|
hepdata
Pythia 6 (370:P2012):
data
|
generator card
Pythia 6 (391:ICT6L):
data
|
generator card
Pythia 6 (Def):
data
|
generator card
Pythia 6 (129:Pro-Q2O):
data
|
generator card
details
Download as:
.pdf
.eps
.png
.script
#
Analysis ID:
ATLAS_2022_I2077575
Hist ID:
/ATLAS_2022_I2077575/d279-x01-y01
ATLAS experiment:
data
|
article paper
|
hepdata
Pythia 6 (370:P2012):
data
|
generator card
Pythia 6 (391:ICT6L):
data
|
generator card
Pythia 6 (Def):
data
|
generator card
Pythia 6 (129:Pro-Q2O):
data
|
generator card
details
Download as:
.pdf
.eps
.png
.script
#
Analysis ID:
ATLAS_2022_I2077575
Hist ID:
/ATLAS_2022_I2077575/d252-x01-y01
ATLAS experiment:
data
|
article paper
|
hepdata
Pythia 6 (370:P2012):
data
|
generator card
Pythia 6 (391:ICT6L):
data
|
generator card
Pythia 6 (Def):
data
|
generator card
Pythia 6 (129:Pro-Q2O):
data
|
generator card
details
Download as:
.pdf
.eps
.png
.script
#
Analysis ID:
ATLAS_2022_I2077575
Hist ID:
/ATLAS_2022_I2077575/d251-x01-y01
ATLAS experiment:
data
|
article paper
|
hepdata
Pythia 6 (370:P2012):
data
|
generator card
Pythia 6 (391:ICT6L):
data
|
generator card
Pythia 6 (Def):
data
|
generator card
Pythia 6 (129:Pro-Q2O):
data
|
generator card
details
Download as:
.pdf
.eps
.png
.script
#
Analysis ID:
ATLAS_2022_I2077575
Hist ID:
/ATLAS_2022_I2077575/d227-x01-y01
ATLAS experiment:
data
|
article paper
|
hepdata
Pythia 6 (370:P2012):
data
|
generator card
Pythia 6 (391:ICT6L):
data
|
generator card
Pythia 6 (Def):
data
|
generator card
Pythia 6 (129:Pro-Q2O):
data
|
generator card
details
Download as:
.pdf
.eps
.png
.script
#
Analysis ID:
ATLAS_2022_I2077575
Hist ID:
/ATLAS_2022_I2077575/d210-x01-y01
ATLAS experiment:
data
|
article paper
|
hepdata
Pythia 6 (370:P2012):
data
|
generator card
Pythia 6 (391:ICT6L):
data
|
generator card
Pythia 6 (Def):
data
|
generator card
Pythia 6 (129:Pro-Q2O):
data
|
generator card
details
Download as:
.pdf
.eps
.png
.script
#
Analysis ID:
ATLAS_2022_I2077575
Hist ID:
/ATLAS_2022_I2077575/d209-x01-y01
ATLAS experiment:
data
|
article paper
|
hepdata
Pythia 6 (370:P2012):
data
|
generator card
Pythia 6 (391:ICT6L):
data
|
generator card
Pythia 6 (Def):
data
|
generator card
Pythia 6 (129:Pro-Q2O):
data
|
generator card
details
Download as:
.pdf
.eps
.png
.script
#
Analysis ID:
ATLAS_2022_I2077575
Hist ID:
/ATLAS_2022_I2077575/d208-x01-y01
ATLAS experiment:
data
|
article paper
|
hepdata
Pythia 6 (370:P2012):
data
|
generator card
Pythia 6 (391:ICT6L):
data
|
generator card
Pythia 6 (Def):
data
|
generator card
Pythia 6 (129:Pro-Q2O):
data
|
generator card
details
Download as:
.pdf
.eps
.png
.script
#
Analysis ID:
ATLAS_2022_I2077575
Hist ID:
/ATLAS_2022_I2077575/d207-x01-y01
ATLAS experiment:
data
|
article paper
|
hepdata
Pythia 6 (370:P2012):
data
|
generator card
Pythia 6 (391:ICT6L):
data
|
generator card
Pythia 6 (Def):
data
|
generator card
Pythia 6 (129:Pro-Q2O):
data
|
generator card
details
Download as:
.pdf
.eps
.png
.script
#
Analysis ID:
ATLAS_2022_I2077575
Hist ID:
/ATLAS_2022_I2077575/d182-x01-y01
ATLAS experiment:
data
|
article paper
|
hepdata
Pythia 6 (370:P2012):
data
|
generator card
Pythia 6 (391:ICT6L):
data
|
generator card
Pythia 6 (Def):
data
|
generator card
Pythia 6 (129:Pro-Q2O):
data
|
generator card
details
Download as:
.pdf
.eps
.png
.script
#
Analysis ID:
ATLAS_2022_I2077575
Hist ID:
/ATLAS_2022_I2077575/d280-x01-y01
ATLAS experiment:
data
|
article paper
|
hepdata
Pythia 6 (370:P2012):
data
|
generator card
Pythia 6 (391:ICT6L):
data
|
generator card
Pythia 6 (Def):
data
|
generator card
Pythia 6 (129:Pro-Q2O):
data
|
generator card
details
Download as:
.pdf
.eps
.png
.script
#
Analysis ID:
ATLAS_2022_I2077575
Hist ID:
/ATLAS_2022_I2077575/d281-x01-y01
ATLAS experiment:
data
|
article paper
|
hepdata
Pythia 6 (370:P2012):
data
|
generator card
Pythia 6 (391:ICT6L):
data
|
generator card
Pythia 6 (Def):
data
|
generator card
Pythia 6 (129:Pro-Q2O):
data
|
generator card
details
Download as:
.pdf
.eps
.png
.script
#
Analysis ID:
ATLAS_2022_I2077575
Hist ID:
/ATLAS_2022_I2077575/d155-x01-y01
ATLAS experiment:
data
|
article paper
|
hepdata
Pythia 6 (370:P2012):
data
|
generator card
Pythia 6 (391:ICT6L):
data
|
generator card
Pythia 6 (Def):
data
|
generator card
Pythia 6 (129:Pro-Q2O):
data
|
generator card
details
Download as:
.pdf
.eps
.png
.script
#
Analysis ID:
ATLAS_2022_I2077575
Hist ID:
/ATLAS_2022_I2077575/d179-x01-y01
ATLAS experiment:
data
|
article paper
|
hepdata
Pythia 6 (370:P2012):
data
|
generator card
Pythia 6 (391:ICT6L):
data
|
generator card
Pythia 6 (Def):
data
|
generator card
Pythia 6 (129:Pro-Q2O):
data
|
generator card
details
Download as:
.pdf
.eps
.png
.script
#
Analysis ID:
ATLAS_2022_I2077575
Hist ID:
/ATLAS_2022_I2077575/d180-x01-y01
ATLAS experiment:
data
|
article paper
|
hepdata
Pythia 6 (370:P2012):
data
|
generator card
Pythia 6 (391:ICT6L):
data
|
generator card
Pythia 6 (Def):
data
|
generator card
Pythia 6 (129:Pro-Q2O):
data
|
generator card
details
Download as:
.pdf
.eps
.png
.script
#
Analysis ID:
ATLAS_2022_I2077575
Hist ID:
/ATLAS_2022_I2077575/d181-x01-y01
ATLAS experiment:
data
|
article paper
|
hepdata
Pythia 6 (370:P2012):
data
|
generator card
Pythia 6 (391:ICT6L):
data
|
generator card
Pythia 6 (Def):
data
|
generator card
Pythia 6 (129:Pro-Q2O):
data
|
generator card
details
Download as:
.pdf
.eps
.png
.script
#
Analysis ID:
ATLAS_2022_I2077575
Hist ID:
/ATLAS_2022_I2077575/d282-x01-y01
ATLAS experiment:
data
|
article paper
|
hepdata
Pythia 6 (370:P2012):
data
|
generator card
Pythia 6 (391:ICT6L):
data
|
generator card
Pythia 6 (Def):
data
|
generator card
Pythia 6 (129:Pro-Q2O):
data
|
generator card
details
Download as:
.pdf
.eps
.png
.script
#
Analysis ID:
ATLAS_2022_I2037744
Hist ID:
/ATLAS_2022_I2037744/d29-x01-y01
ATLAS experiment:
data
|
article paper
|
hepdata
Pythia 6 (370:P2012):
data
|
generator card
Pythia 6 (391:ICT6L):
data
|
generator card
Pythia 6 (Def):
data
|
generator card
Pythia 6 (129:Pro-Q2O):
data
|
generator card
details
Download as:
.pdf
.eps
.png
.script
#
Analysis ID:
ATLAS_2022_I2037744
Hist ID:
/ATLAS_2022_I2037744/d27-x01-y01
ATLAS experiment:
data
|
article paper
|
hepdata
Pythia 6 (370:P2012):
data
|
generator card
Pythia 6 (391:ICT6L):
data
|
generator card
Pythia 6 (Def):
data
|
generator card
Pythia 6 (129:Pro-Q2O):
data
|
generator card
details
Download as:
.pdf
.eps
.png
.script
#
Analysis ID:
CMS_2018_I1703993
Hist ID:
/CMS_2018_I1703993/d73-x01-y01
CMS experiment:
data
|
article paper
|
hepdata
Pythia 6 (370:P2012):
data
|
generator card
Pythia 6 (391:ICT6L):
data
|
generator card
Pythia 6 (Def):
data
|
generator card
Pythia 6 (129:Pro-Q2O):
data
|
generator card
details
Download as:
.pdf
.eps
.png
.script
#
Analysis ID:
CMS_2018_I1703993
Hist ID:
/CMS_2018_I1703993/d75-x01-y01
CMS experiment:
data
|
article paper
|
hepdata
Pythia 6 (370:P2012):
data
|
generator card
Pythia 6 (391:ICT6L):
data
|
generator card
Pythia 6 (Def):
data
|
generator card
Pythia 6 (129:Pro-Q2O):
data
|
generator card
details
Download as:
.pdf
.eps
.png
.script
#
Analysis ID:
CMS_2018_I1703993
Hist ID:
/CMS_2018_I1703993/d77-x01-y01
CMS experiment:
data
|
article paper
|
hepdata
Pythia 6 (370:P2012):
data
|
generator card
Pythia 6 (391:ICT6L):
data
|
generator card
Pythia 6 (Def):
data
|
generator card
Pythia 6 (129:Pro-Q2O):
data
|
generator card
details
Download as:
.pdf
.eps
.png
.script
#
Analysis ID:
CMS_2018_I1703993
Hist ID:
/CMS_2018_I1703993/d79-x01-y01
CMS experiment:
data
|
article paper
|
hepdata
Pythia 6 (370:P2012):
data
|
generator card
Pythia 6 (391:ICT6L):
data
|
generator card
Pythia 6 (Def):
data
|
generator card
Pythia 6 (129:Pro-Q2O):
data
|
generator card
details
Download as:
.pdf
.eps
.png
.script
#
Analysis ID:
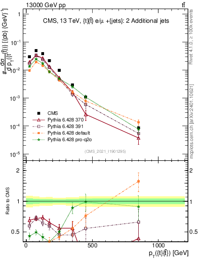
CMS_2021_I1901295
Hist ID:
/CMS_2021_I1901295/d346-x01-y01
CMS experiment:
data
|
article paper
|
hepdata
Pythia 6 (370:P2012):
data
|
generator card
Pythia 6 (391:ICT6L):
data
|
generator card
Pythia 6 (Def):
data
|
generator card
Pythia 6 (129:Pro-Q2O):
data
|
generator card
details
Download as:
.pdf
.eps
.png
.script
#
Analysis ID:
CMS_2021_I1901295
Hist ID:
/CMS_2021_I1901295/d350-x01-y01
CMS experiment:
data
|
article paper
|
hepdata
Pythia 6 (370:P2012):
data
|
generator card
Pythia 6 (391:ICT6L):
data
|
generator card
Pythia 6 (Def):
data
|
generator card
Pythia 6 (129:Pro-Q2O):
data
|
generator card
details
Download as:
.pdf
.eps
.png
.script
#
Analysis ID:
CMS_2021_I1901295
Hist ID:
/CMS_2021_I1901295/d349-x01-y01
CMS experiment:
data
|
article paper
|
hepdata
Pythia 6 (370:P2012):
data
|
generator card
Pythia 6 (391:ICT6L):
data
|
generator card
Pythia 6 (Def):
data
|
generator card
Pythia 6 (129:Pro-Q2O):
data
|
generator card
details
Download as:
.pdf
.eps
.png
.script
#
Analysis ID:
CMS_2021_I1901295
Hist ID:
/CMS_2021_I1901295/d348-x01-y01
CMS experiment:
data
|
article paper
|
hepdata
Pythia 6 (370:P2012):
data
|
generator card
Pythia 6 (391:ICT6L):
data
|
generator card
Pythia 6 (Def):
data
|
generator card
Pythia 6 (129:Pro-Q2O):
data
|
generator card
details
Download as:
.pdf
.eps
.png
.script
#
Analysis ID:
CMS_2021_I1901295
Hist ID:
/CMS_2021_I1901295/d345-x01-y01
CMS experiment:
data
|
article paper
|
hepdata
Pythia 6 (370:P2012):
data
|
generator card
Pythia 6 (391:ICT6L):
data
|
generator card
Pythia 6 (Def):
data
|
generator card
Pythia 6 (129:Pro-Q2O):
data
|
generator card
details
Download as:
.pdf
.eps
.png
.script
#
Analysis ID:
CMS_2021_I1901295
Hist ID:
/CMS_2021_I1901295/d201-x01-y01
CMS experiment:
data
|
article paper
|
hepdata
Pythia 6 (370:P2012):
data
|
generator card
Pythia 6 (391:ICT6L):
data
|
generator card
Pythia 6 (Def):
data
|
generator card
Pythia 6 (129:Pro-Q2O):
data
|
generator card
details
Download as:
.pdf
.eps
.png
.script
#
Analysis ID:
CMS_2021_I1901295
Hist ID:
/CMS_2021_I1901295/d351-x01-y01
CMS experiment:
data
|
article paper
|
hepdata
Pythia 6 (370:P2012):
data
|
generator card
Pythia 6 (391:ICT6L):
data
|
generator card
Pythia 6 (Def):
data
|
generator card
Pythia 6 (129:Pro-Q2O):
data
|
generator card
details
Download as:
.pdf
.eps
.png
.script
#
Analysis ID:
CMS_2021_I1901295
Hist ID:
/CMS_2021_I1901295/d343-x01-y01
CMS experiment:
data
|
article paper
|
hepdata
Pythia 6 (370:P2012):
data
|
generator card
Pythia 6 (391:ICT6L):
data
|
generator card
Pythia 6 (Def):
data
|
generator card
Pythia 6 (129:Pro-Q2O):
data
|
generator card
details
Download as:
.pdf
.eps
.png
.script
#
Analysis ID:
CMS_2021_I1901295
Hist ID:
/CMS_2021_I1901295/d344-x01-y01
CMS experiment:
data
|
article paper
|
hepdata
Pythia 6 (370:P2012):
data
|
generator card
Pythia 6 (391:ICT6L):
data
|
generator card
Pythia 6 (Def):
data
|
generator card
Pythia 6 (129:Pro-Q2O):
data
|
generator card
details
Download as:
.pdf
.eps
.png
.script
#
Analysis ID:
CMS_2021_I1901295
Hist ID:
/CMS_2021_I1901295/d199-x01-y01
CMS experiment:
data
|
article paper
|
hepdata
Pythia 6 (370:P2012):
data
|
generator card
Pythia 6 (391:ICT6L):
data
|
generator card
Pythia 6 (Def):
data
|
generator card
Pythia 6 (129:Pro-Q2O):
data
|
generator card