LHC@HOME
CARDS
COMPARISON
Tunes
Generators
PLOTS
4-lepton
b
b
Elastic
Heavy Ion : minbias
Jets
Soft QCD (inelastic)
Soft QCD (nsd only)
Total σ
Top (t-channel)
Top (all)
Top (parton level)
Top (t
t
)
Underlying Event
W+Jet
W
WW
Z+Jet
ee : γ*/Z (hadronic)
Z (Drell-Yan)
ABOUT
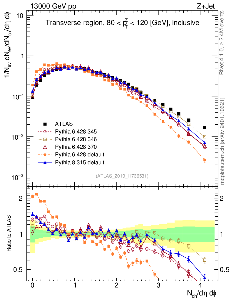
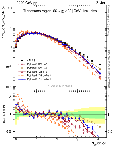
Z+Jet
Underlying event
<p
T
>
p
T
spectrum
Nch
Scalar Σ(p
T
)
Generalized angularities
LHA λ
1
0.5
LHA λ
1
0.5
(charged only)
Groomed LHA λ
1
0.5
Groomed LHA λ
1
0.5
(charged only)
Multiplicity λ
0
0
Groomed multiplicity λ
0
0
Multiplicity λ
0
0
(charged only)
Groomed multiplicity λ
0
0
(charged only)
(p
D
T
)
2
λ
2
0
(p
D
T
)
2
λ
2
0
(charged only)
Groomed (p
D
T
)
2
λ
2
0
Groomed (p
D
T
)
2
λ
2
0
(charged only)
Thrust λ
1
2
Thrust λ
1
2
(charged only)
Groomed thrust λ
1
2
Groomed thrust λ
1
2
(charged only)
Width λ
1
1
Width λ
1
1
(charged only)
Groomed width λ
1
1
Groomed width λ
1
1
(charged only)
Jet mass
Jet mass
Filtered jet mass
Pruned jet mass
Trimmed jet mass
Dijet mass
Jet p
T
Jet p
T
ratio
Jet rapidity
Δ
rel
pT(jets)
njets_njets
pT Z
pT(Z) to pT(jet) ratio
y Z
Δφ (jet, Z)
p
T
balance (jet, Z)
ΔR (jet, Z)
ΔR
min
(jet, Z)
Δy (jet, Z)
HT(Z+jets)
Δφ (dijet, Z)
p
T
balance (dijet, Z)
Dijet
Δφ
ΔR
Δy
p
T
p
T
ratio to m
Jet Multiplicities
Jet multiplicity
Dilepton
p
T
ratio
Z+Jet : Underlying event : Nch
Pythia 8 : Py8 vs Py6
General-Purpose MCs
Main
Herwig vs Pythia
Pythia 6 vs 8
All C++ Generators
Soft-Inclusive MCs
Min-Bias Tunes
UE Tunes
EPOS vs Pythia
Pythia 8
Matched/Merged MCs
Main
vs GPMCs
Powheg-Box
Herwig
Main
Herwig++
Powheg
Herwig7 vs Pythia
Herwig7 vs Sherpa
Pythia 8
Main
A14
AU2-PDFs
Diffraction
LEP
Rad Variations
No CR
4Cx
Tevatron
Py8 vs Py6
Py8 vs Herwig
Py8 vs Sherpa
Pythia 6
Main
Py6 vs Py8
P12-RadFrag
P12-MpiCR
AMBT2 vs Z2
AUET2B-PDFs
P12-PDFs
CTEQ6 vs LO*
IBK LOPDFs
IBK NLOPDFs
Perugia History
P11-All
LHC tunes
Tevatron
Old vs P12
Sherpa
Main
Matching/Merging
Customize
ℹ️
Choose generators/versions/tunes to plot : either from a pre-defined preset (left button) or from all available MCs (right button)
pp @ 13000 GeV
details
Download as:
.pdf
.eps
.png
.script
#
Analysis ID:
ATLAS_2019_I1736531
Hist ID:
/ATLAS_2019_I1736531/d98-x01-y01
ATLAS experiment:
data
|
article paper
|
hepdata
Pythia 6 (345:AMBT2B):
data
|
generator card
Pythia 6 (346:AUET2B):
data
|
generator card
Pythia 6 (370:P2012):
data
|
generator card
Pythia 6 (Def):
data
|
generator card
Pythia 8 (Def):
data
|
generator card
details
Download as:
.pdf
.eps
.png
.script
#
Analysis ID:
ATLAS_2019_I1736531
Hist ID:
/ATLAS_2019_I1736531/d91-x01-y01
ATLAS experiment:
data
|
article paper
|
hepdata
Pythia 6 (345:AMBT2B):
data
|
generator card
Pythia 6 (346:AUET2B):
data
|
generator card
Pythia 6 (370:P2012):
data
|
generator card
Pythia 6 (Def):
data
|
generator card
Pythia 8 (Def):
data
|
generator card
details
Download as:
.pdf
.eps
.png
.script
#
Analysis ID:
ATLAS_2019_I1736531
Hist ID:
/ATLAS_2019_I1736531/d443-x01-y01
ATLAS experiment:
data
|
article paper
|
hepdata
Pythia 6 (345:AMBT2B):
data
|
generator card
Pythia 6 (346:AUET2B):
data
|
generator card
Pythia 6 (370:P2012):
data
|
generator card
Pythia 6 (Def):
data
|
generator card
Pythia 8 (Def):
data
|
generator card
details
Download as:
.pdf
.eps
.png
.script
#
Analysis ID:
ATLAS_2019_I1736531
Hist ID:
/ATLAS_2019_I1736531/d435-x01-y01
ATLAS experiment:
data
|
article paper
|
hepdata
Pythia 6 (345:AMBT2B):
data
|
generator card
Pythia 6 (346:AUET2B):
data
|
generator card
Pythia 6 (370:P2012):
data
|
generator card
Pythia 6 (Def):
data
|
generator card
Pythia 8 (Def):
data
|
generator card
details
Download as:
.pdf
.eps
.png
.script
#
Analysis ID:
ATLAS_2019_I1736531
Hist ID:
/ATLAS_2019_I1736531/d427-x01-y01
ATLAS experiment:
data
|
article paper
|
hepdata
Pythia 6 (345:AMBT2B):
data
|
generator card
Pythia 6 (346:AUET2B):
data
|
generator card
Pythia 6 (370:P2012):
data
|
generator card
Pythia 6 (Def):
data
|
generator card
Pythia 8 (Def):
data
|
generator card
details
Download as:
.pdf
.eps
.png
.script
#
Analysis ID:
ATLAS_2019_I1736531
Hist ID:
/ATLAS_2019_I1736531/d419-x01-y01
ATLAS experiment:
data
|
article paper
|
hepdata
Pythia 6 (345:AMBT2B):
data
|
generator card
Pythia 6 (346:AUET2B):
data
|
generator card
Pythia 6 (370:P2012):
data
|
generator card
Pythia 6 (Def):
data
|
generator card
Pythia 8 (Def):
data
|
generator card
details
Download as:
.pdf
.eps
.png
.script
#
Analysis ID:
ATLAS_2019_I1736531
Hist ID:
/ATLAS_2019_I1736531/d411-x01-y01
ATLAS experiment:
data
|
article paper
|
hepdata
Pythia 6 (345:AMBT2B):
data
|
generator card
Pythia 6 (346:AUET2B):
data
|
generator card
Pythia 6 (370:P2012):
data
|
generator card
Pythia 6 (Def):
data
|
generator card
Pythia 8 (Def):
data
|
generator card
details
Download as:
.pdf
.eps
.png
.script
#
Analysis ID:
ATLAS_2019_I1736531
Hist ID:
/ATLAS_2019_I1736531/d283-x01-y01
ATLAS experiment:
data
|
article paper
|
hepdata
Pythia 6 (345:AMBT2B):
data
|
generator card
Pythia 6 (346:AUET2B):
data
|
generator card
Pythia 6 (370:P2012):
data
|
generator card
Pythia 6 (Def):
data
|
generator card
Pythia 8 (Def):
data
|
generator card
details
Download as:
.pdf
.eps
.png
.script
#
Analysis ID:
ATLAS_2019_I1736531
Hist ID:
/ATLAS_2019_I1736531/d275-x01-y01
ATLAS experiment:
data
|
article paper
|
hepdata
Pythia 6 (345:AMBT2B):
data
|
generator card
Pythia 6 (346:AUET2B):
data
|
generator card
Pythia 6 (370:P2012):
data
|
generator card
Pythia 6 (Def):
data
|
generator card
Pythia 8 (Def):
data
|
generator card
details
Download as:
.pdf
.eps
.png
.script
#
Analysis ID:
ATLAS_2019_I1736531
Hist ID:
/ATLAS_2019_I1736531/d267-x01-y01
ATLAS experiment:
data
|
article paper
|
hepdata
Pythia 6 (345:AMBT2B):
data
|
generator card
Pythia 6 (346:AUET2B):
data
|
generator card
Pythia 6 (370:P2012):
data
|
generator card
Pythia 6 (Def):
data
|
generator card
Pythia 8 (Def):
data
|
generator card
details
Download as:
.pdf
.eps
.png
.script
#
Analysis ID:
ATLAS_2019_I1736531
Hist ID:
/ATLAS_2019_I1736531/d259-x01-y01
ATLAS experiment:
data
|
article paper
|
hepdata
Pythia 6 (345:AMBT2B):
data
|
generator card
Pythia 6 (346:AUET2B):
data
|
generator card
Pythia 6 (370:P2012):
data
|
generator card
Pythia 6 (Def):
data
|
generator card
Pythia 8 (Def):
data
|
generator card
details
Download as:
.pdf
.eps
.png
.script
#
Analysis ID:
ATLAS_2019_I1736531
Hist ID:
/ATLAS_2019_I1736531/d251-x01-y01
ATLAS experiment:
data
|
article paper
|
hepdata
Pythia 6 (345:AMBT2B):
data
|
generator card
Pythia 6 (346:AUET2B):
data
|
generator card
Pythia 6 (370:P2012):
data
|
generator card
Pythia 6 (Def):
data
|
generator card
Pythia 8 (Def):
data
|
generator card
details
Download as:
.pdf
.eps
.png
.script
#
Analysis ID:
ATLAS_2019_I1736531
Hist ID:
/ATLAS_2019_I1736531/d123-x01-y01
ATLAS experiment:
data
|
article paper
|
hepdata
Pythia 6 (345:AMBT2B):
data
|
generator card
Pythia 6 (346:AUET2B):
data
|
generator card
Pythia 6 (370:P2012):
data
|
generator card
Pythia 6 (Def):
data
|
generator card
Pythia 8 (Def):
data
|
generator card
details
Download as:
.pdf
.eps
.png
.script
#
Analysis ID:
ATLAS_2019_I1736531
Hist ID:
/ATLAS_2019_I1736531/d115-x01-y01
ATLAS experiment:
data
|
article paper
|
hepdata
Pythia 6 (345:AMBT2B):
data
|
generator card
Pythia 6 (346:AUET2B):
data
|
generator card
Pythia 6 (370:P2012):
data
|
generator card
Pythia 6 (Def):
data
|
generator card
Pythia 8 (Def):
data
|
generator card
details
Download as:
.pdf
.eps
.png
.script
#
Analysis ID:
ATLAS_2019_I1736531
Hist ID:
/ATLAS_2019_I1736531/d99-x01-y01
ATLAS experiment:
data
|
article paper
|
hepdata
Pythia 6 (345:AMBT2B):
data
|
generator card
Pythia 6 (346:AUET2B):
data
|
generator card
Pythia 6 (370:P2012):
data
|
generator card
Pythia 6 (Def):
data
|
generator card
Pythia 8 (Def):
data
|
generator card
details
Download as:
.pdf
.eps
.png
.script
#
Analysis ID:
ATLAS_2019_I1736531
Hist ID:
/ATLAS_2019_I1736531/d106-x01-y01
ATLAS experiment:
data
|
article paper
|
hepdata
Pythia 6 (345:AMBT2B):
data
|
generator card
Pythia 6 (346:AUET2B):
data
|
generator card
Pythia 6 (370:P2012):
data
|
generator card
Pythia 6 (Def):
data
|
generator card
Pythia 8 (Def):
data
|
generator card
details
Download as:
.pdf
.eps
.png
.script
#
Analysis ID:
ATLAS_2019_I1736531
Hist ID:
/ATLAS_2019_I1736531/d90-x01-y01
ATLAS experiment:
data
|
article paper
|
hepdata
Pythia 6 (345:AMBT2B):
data
|
generator card
Pythia 6 (346:AUET2B):
data
|
generator card
Pythia 6 (370:P2012):
data
|
generator card
Pythia 6 (Def):
data
|
generator card
Pythia 8 (Def):
data
|
generator card
details
Download as:
.pdf
.eps
.png
.script
#
Analysis ID:
ATLAS_2019_I1736531
Hist ID:
/ATLAS_2019_I1736531/d442-x01-y01
ATLAS experiment:
data
|
article paper
|
hepdata
Pythia 6 (345:AMBT2B):
data
|
generator card
Pythia 6 (346:AUET2B):
data
|
generator card
Pythia 6 (370:P2012):
data
|
generator card
Pythia 6 (Def):
data
|
generator card
Pythia 8 (Def):
data
|
generator card
details
Download as:
.pdf
.eps
.png
.script
#
Analysis ID:
ATLAS_2019_I1736531
Hist ID:
/ATLAS_2019_I1736531/d434-x01-y01
ATLAS experiment:
data
|
article paper
|
hepdata
Pythia 6 (345:AMBT2B):
data
|
generator card
Pythia 6 (346:AUET2B):
data
|
generator card
Pythia 6 (370:P2012):
data
|
generator card
Pythia 6 (Def):
data
|
generator card
Pythia 8 (Def):
data
|
generator card
details
Download as:
.pdf
.eps
.png
.script
#
Analysis ID:
ATLAS_2019_I1736531
Hist ID:
/ATLAS_2019_I1736531/d426-x01-y01
ATLAS experiment:
data
|
article paper
|
hepdata
Pythia 6 (345:AMBT2B):
data
|
generator card
Pythia 6 (346:AUET2B):
data
|
generator card
Pythia 6 (370:P2012):
data
|
generator card
Pythia 6 (Def):
data
|
generator card
Pythia 8 (Def):
data
|
generator card
details
Download as:
.pdf
.eps
.png
.script
#
Analysis ID:
ATLAS_2019_I1736531
Hist ID:
/ATLAS_2019_I1736531/d418-x01-y01
ATLAS experiment:
data
|
article paper
|
hepdata
Pythia 6 (345:AMBT2B):
data
|
generator card
Pythia 6 (346:AUET2B):
data
|
generator card
Pythia 6 (370:P2012):
data
|
generator card
Pythia 6 (Def):
data
|
generator card
Pythia 8 (Def):
data
|
generator card
details
Download as:
.pdf
.eps
.png
.script
#
Analysis ID:
ATLAS_2019_I1736531
Hist ID:
/ATLAS_2019_I1736531/d410-x01-y01
ATLAS experiment:
data
|
article paper
|
hepdata
Pythia 6 (345:AMBT2B):
data
|
generator card
Pythia 6 (346:AUET2B):
data
|
generator card
Pythia 6 (370:P2012):
data
|
generator card
Pythia 6 (Def):
data
|
generator card
Pythia 8 (Def):
data
|
generator card
details
Download as:
.pdf
.eps
.png
.script
#
Analysis ID:
ATLAS_2019_I1736531
Hist ID:
/ATLAS_2019_I1736531/d282-x01-y01
ATLAS experiment:
data
|
article paper
|
hepdata
Pythia 6 (345:AMBT2B):
data
|
generator card
Pythia 6 (346:AUET2B):
data
|
generator card
Pythia 6 (370:P2012):
data
|
generator card
Pythia 6 (Def):
data
|
generator card
Pythia 8 (Def):
data
|
generator card
details
Download as:
.pdf
.eps
.png
.script
#
Analysis ID:
ATLAS_2019_I1736531
Hist ID:
/ATLAS_2019_I1736531/d274-x01-y01
ATLAS experiment:
data
|
article paper
|
hepdata
Pythia 6 (345:AMBT2B):
data
|
generator card
Pythia 6 (346:AUET2B):
data
|
generator card
Pythia 6 (370:P2012):
data
|
generator card
Pythia 6 (Def):
data
|
generator card
Pythia 8 (Def):
data
|
generator card
details
Download as:
.pdf
.eps
.png
.script
#
Analysis ID:
ATLAS_2019_I1736531
Hist ID:
/ATLAS_2019_I1736531/d266-x01-y01
ATLAS experiment:
data
|
article paper
|
hepdata
Pythia 6 (345:AMBT2B):
data
|
generator card
Pythia 6 (346:AUET2B):
data
|
generator card
Pythia 6 (370:P2012):
data
|
generator card
Pythia 6 (Def):
data
|
generator card
Pythia 8 (Def):
data
|
generator card
details
Download as:
.pdf
.eps
.png
.script
#
Analysis ID:
ATLAS_2019_I1736531
Hist ID:
/ATLAS_2019_I1736531/d258-x01-y01
ATLAS experiment:
data
|
article paper
|
hepdata
Pythia 6 (345:AMBT2B):
data
|
generator card
Pythia 6 (346:AUET2B):
data
|
generator card
Pythia 6 (370:P2012):
data
|
generator card
Pythia 6 (Def):
data
|
generator card
Pythia 8 (Def):
data
|
generator card
details
Download as:
.pdf
.eps
.png
.script
#
Analysis ID:
ATLAS_2019_I1736531
Hist ID:
/ATLAS_2019_I1736531/d250-x01-y01
ATLAS experiment:
data
|
article paper
|
hepdata
Pythia 6 (345:AMBT2B):
data
|
generator card
Pythia 6 (346:AUET2B):
data
|
generator card
Pythia 6 (370:P2012):
data
|
generator card
Pythia 6 (Def):
data
|
generator card
Pythia 8 (Def):
data
|
generator card
details
Download as:
.pdf
.eps
.png
.script
#
Analysis ID:
ATLAS_2019_I1736531
Hist ID:
/ATLAS_2019_I1736531/d122-x01-y01
ATLAS experiment:
data
|
article paper
|
hepdata
Pythia 6 (345:AMBT2B):
data
|
generator card
Pythia 6 (346:AUET2B):
data
|
generator card
Pythia 6 (370:P2012):
data
|
generator card
Pythia 6 (Def):
data
|
generator card
Pythia 8 (Def):
data
|
generator card
details
Download as:
.pdf
.eps
.png
.script
#
Analysis ID:
ATLAS_2019_I1736531
Hist ID:
/ATLAS_2019_I1736531/d114-x01-y01
ATLAS experiment:
data
|
article paper
|
hepdata
Pythia 6 (345:AMBT2B):
data
|
generator card
Pythia 6 (346:AUET2B):
data
|
generator card
Pythia 6 (370:P2012):
data
|
generator card
Pythia 6 (Def):
data
|
generator card
Pythia 8 (Def):
data
|
generator card
details
Download as:
.pdf
.eps
.png
.script
#
Analysis ID:
ATLAS_2019_I1736531
Hist ID:
/ATLAS_2019_I1736531/d107-x01-y01
ATLAS experiment:
data
|
article paper
|
hepdata
Pythia 6 (345:AMBT2B):
data
|
generator card
Pythia 6 (346:AUET2B):
data
|
generator card
Pythia 6 (370:P2012):
data
|
generator card
Pythia 6 (Def):
data
|
generator card
Pythia 8 (Def):
data
|
generator card
details
Download as:
.pdf
.eps
.png
.script
#
Analysis ID:
ATLAS_2019_I1736531
Hist ID:
/ATLAS_2019_I1736531/d100-x01-y01
ATLAS experiment:
data
|
article paper
|
hepdata
Pythia 6 (345:AMBT2B):
data
|
generator card
Pythia 6 (346:AUET2B):
data
|
generator card
Pythia 6 (370:P2012):
data
|
generator card
Pythia 6 (Def):
data
|
generator card
Pythia 8 (Def):
data
|
generator card
details
Download as:
.pdf
.eps
.png
.script
#
Analysis ID:
ATLAS_2019_I1736531
Hist ID:
/ATLAS_2019_I1736531/d444-x01-y01
ATLAS experiment:
data
|
article paper
|
hepdata
Pythia 6 (345:AMBT2B):
data
|
generator card
Pythia 6 (346:AUET2B):
data
|
generator card
Pythia 6 (370:P2012):
data
|
generator card
Pythia 6 (Def):
data
|
generator card
Pythia 8 (Def):
data
|
generator card
details
Download as:
.pdf
.eps
.png
.script
#
Analysis ID:
ATLAS_2019_I1736531
Hist ID:
/ATLAS_2019_I1736531/d436-x01-y01
ATLAS experiment:
data
|
article paper
|
hepdata
Pythia 6 (345:AMBT2B):
data
|
generator card
Pythia 6 (346:AUET2B):
data
|
generator card
Pythia 6 (370:P2012):
data
|
generator card
Pythia 6 (Def):
data
|
generator card
Pythia 8 (Def):
data
|
generator card
details
Download as:
.pdf
.eps
.png
.script
#
Analysis ID:
ATLAS_2019_I1736531
Hist ID:
/ATLAS_2019_I1736531/d428-x01-y01
ATLAS experiment:
data
|
article paper
|
hepdata
Pythia 6 (345:AMBT2B):
data
|
generator card
Pythia 6 (346:AUET2B):
data
|
generator card
Pythia 6 (370:P2012):
data
|
generator card
Pythia 6 (Def):
data
|
generator card
Pythia 8 (Def):
data
|
generator card
details
Download as:
.pdf
.eps
.png
.script
#
Analysis ID:
ATLAS_2019_I1736531
Hist ID:
/ATLAS_2019_I1736531/d420-x01-y01
ATLAS experiment:
data
|
article paper
|
hepdata
Pythia 6 (345:AMBT2B):
data
|
generator card
Pythia 6 (346:AUET2B):
data
|
generator card
Pythia 6 (370:P2012):
data
|
generator card
Pythia 6 (Def):
data
|
generator card
Pythia 8 (Def):
data
|
generator card
details
Download as:
.pdf
.eps
.png
.script
#
Analysis ID:
ATLAS_2019_I1736531
Hist ID:
/ATLAS_2019_I1736531/d412-x01-y01
ATLAS experiment:
data
|
article paper
|
hepdata
Pythia 6 (345:AMBT2B):
data
|
generator card
Pythia 6 (346:AUET2B):
data
|
generator card
Pythia 6 (370:P2012):
data
|
generator card
Pythia 6 (Def):
data
|
generator card
Pythia 8 (Def):
data
|
generator card
details
Download as:
.pdf
.eps
.png
.script
#
Analysis ID:
ATLAS_2019_I1736531
Hist ID:
/ATLAS_2019_I1736531/d284-x01-y01
ATLAS experiment:
data
|
article paper
|
hepdata
Pythia 6 (345:AMBT2B):
data
|
generator card
Pythia 6 (346:AUET2B):
data
|
generator card
Pythia 6 (370:P2012):
data
|
generator card
Pythia 6 (Def):
data
|
generator card
Pythia 8 (Def):
data
|
generator card
details
Download as:
.pdf
.eps
.png
.script
#
Analysis ID:
ATLAS_2019_I1736531
Hist ID:
/ATLAS_2019_I1736531/d276-x01-y01
ATLAS experiment:
data
|
article paper
|
hepdata
Pythia 6 (345:AMBT2B):
data
|
generator card
Pythia 6 (346:AUET2B):
data
|
generator card
Pythia 6 (370:P2012):
data
|
generator card
Pythia 6 (Def):
data
|
generator card
Pythia 8 (Def):
data
|
generator card
details
Download as:
.pdf
.eps
.png
.script
#
Analysis ID:
ATLAS_2019_I1736531
Hist ID:
/ATLAS_2019_I1736531/d268-x01-y01
ATLAS experiment:
data
|
article paper
|
hepdata
Pythia 6 (345:AMBT2B):
data
|
generator card
Pythia 6 (346:AUET2B):
data
|
generator card
Pythia 6 (370:P2012):
data
|
generator card
Pythia 6 (Def):
data
|
generator card
Pythia 8 (Def):
data
|
generator card
details
Download as:
.pdf
.eps
.png
.script
#
Analysis ID:
ATLAS_2019_I1736531
Hist ID:
/ATLAS_2019_I1736531/d260-x01-y01
ATLAS experiment:
data
|
article paper
|
hepdata
Pythia 6 (345:AMBT2B):
data
|
generator card
Pythia 6 (346:AUET2B):
data
|
generator card
Pythia 6 (370:P2012):
data
|
generator card
Pythia 6 (Def):
data
|
generator card
Pythia 8 (Def):
data
|
generator card
details
Download as:
.pdf
.eps
.png
.script
#
Analysis ID:
ATLAS_2019_I1736531
Hist ID:
/ATLAS_2019_I1736531/d252-x01-y01
ATLAS experiment:
data
|
article paper
|
hepdata
Pythia 6 (345:AMBT2B):
data
|
generator card
Pythia 6 (346:AUET2B):
data
|
generator card
Pythia 6 (370:P2012):
data
|
generator card
Pythia 6 (Def):
data
|
generator card
Pythia 8 (Def):
data
|
generator card
details
Download as:
.pdf
.eps
.png
.script
#
Analysis ID:
ATLAS_2019_I1736531
Hist ID:
/ATLAS_2019_I1736531/d124-x01-y01
ATLAS experiment:
data
|
article paper
|
hepdata
Pythia 6 (345:AMBT2B):
data
|
generator card
Pythia 6 (346:AUET2B):
data
|
generator card
Pythia 6 (370:P2012):
data
|
generator card
Pythia 6 (Def):
data
|
generator card
Pythia 8 (Def):
data
|
generator card
details
Download as:
.pdf
.eps
.png
.script
#
Analysis ID:
ATLAS_2019_I1736531
Hist ID:
/ATLAS_2019_I1736531/d116-x01-y01
ATLAS experiment:
data
|
article paper
|
hepdata
Pythia 6 (345:AMBT2B):
data
|
generator card
Pythia 6 (346:AUET2B):
data
|
generator card
Pythia 6 (370:P2012):
data
|
generator card
Pythia 6 (Def):
data
|
generator card
Pythia 8 (Def):
data
|
generator card
details
Download as:
.pdf
.eps
.png
.script
#
Analysis ID:
ATLAS_2019_I1736531
Hist ID:
/ATLAS_2019_I1736531/d108-x01-y01
ATLAS experiment:
data
|
article paper
|
hepdata
Pythia 6 (345:AMBT2B):
data
|
generator card
Pythia 6 (346:AUET2B):
data
|
generator card
Pythia 6 (370:P2012):
data
|
generator card
Pythia 6 (Def):
data
|
generator card
Pythia 8 (Def):
data
|
generator card
details
Download as:
.pdf
.eps
.png
.script
#
Analysis ID:
ATLAS_2019_I1736531
Hist ID:
/ATLAS_2019_I1736531/d92-x01-y01
ATLAS experiment:
data
|
article paper
|
hepdata
Pythia 6 (345:AMBT2B):
data
|
generator card
Pythia 6 (346:AUET2B):
data
|
generator card
Pythia 6 (370:P2012):
data
|
generator card
Pythia 6 (Def):
data
|
generator card
Pythia 8 (Def):
data
|
generator card
details
Download as:
.pdf
.eps
.png
.script
#
Analysis ID:
ATLAS_2019_I1736531
Hist ID:
/ATLAS_2019_I1736531/d101-x01-y01
ATLAS experiment:
data
|
article paper
|
hepdata
Pythia 6 (345:AMBT2B):
data
|
generator card
Pythia 6 (346:AUET2B):
data
|
generator card
Pythia 6 (370:P2012):
data
|
generator card
Pythia 6 (Def):
data
|
generator card
Pythia 8 (Def):
data
|
generator card
details
Download as:
.pdf
.eps
.png
.script
#
Analysis ID:
ATLAS_2019_I1736531
Hist ID:
/ATLAS_2019_I1736531/d93-x01-y01
ATLAS experiment:
data
|
article paper
|
hepdata
Pythia 6 (345:AMBT2B):
data
|
generator card
Pythia 6 (346:AUET2B):
data
|
generator card
Pythia 6 (370:P2012):
data
|
generator card
Pythia 6 (Def):
data
|
generator card
Pythia 8 (Def):
data
|
generator card
details
Download as:
.pdf
.eps
.png
.script
#
Analysis ID:
ATLAS_2019_I1736531
Hist ID:
/ATLAS_2019_I1736531/d445-x01-y01
ATLAS experiment:
data
|
article paper
|
hepdata
Pythia 6 (345:AMBT2B):
data
|
generator card
Pythia 6 (346:AUET2B):
data
|
generator card
Pythia 6 (370:P2012):
data
|
generator card
Pythia 6 (Def):
data
|
generator card
Pythia 8 (Def):
data
|
generator card
details
Download as:
.pdf
.eps
.png
.script
#
Analysis ID:
ATLAS_2019_I1736531
Hist ID:
/ATLAS_2019_I1736531/d437-x01-y01
ATLAS experiment:
data
|
article paper
|
hepdata
Pythia 6 (345:AMBT2B):
data
|
generator card
Pythia 6 (346:AUET2B):
data
|
generator card
Pythia 6 (370:P2012):
data
|
generator card
Pythia 6 (Def):
data
|
generator card
Pythia 8 (Def):
data
|
generator card
details
Download as:
.pdf
.eps
.png
.script
#
Analysis ID:
ATLAS_2019_I1736531
Hist ID:
/ATLAS_2019_I1736531/d429-x01-y01
ATLAS experiment:
data
|
article paper
|
hepdata
Pythia 6 (345:AMBT2B):
data
|
generator card
Pythia 6 (346:AUET2B):
data
|
generator card
Pythia 6 (370:P2012):
data
|
generator card
Pythia 6 (Def):
data
|
generator card
Pythia 8 (Def):
data
|
generator card
details
Download as:
.pdf
.eps
.png
.script
#
Analysis ID:
ATLAS_2019_I1736531
Hist ID:
/ATLAS_2019_I1736531/d421-x01-y01
ATLAS experiment:
data
|
article paper
|
hepdata
Pythia 6 (345:AMBT2B):
data
|
generator card
Pythia 6 (346:AUET2B):
data
|
generator card
Pythia 6 (370:P2012):
data
|
generator card
Pythia 6 (Def):
data
|
generator card
Pythia 8 (Def):
data
|
generator card
details
Download as:
.pdf
.eps
.png
.script
#
Analysis ID:
ATLAS_2019_I1736531
Hist ID:
/ATLAS_2019_I1736531/d413-x01-y01
ATLAS experiment:
data
|
article paper
|
hepdata
Pythia 6 (345:AMBT2B):
data
|
generator card
Pythia 6 (346:AUET2B):
data
|
generator card
Pythia 6 (370:P2012):
data
|
generator card
Pythia 6 (Def):
data
|
generator card
Pythia 8 (Def):
data
|
generator card
details
Download as:
.pdf
.eps
.png
.script
#
Analysis ID:
ATLAS_2019_I1736531
Hist ID:
/ATLAS_2019_I1736531/d285-x01-y01
ATLAS experiment:
data
|
article paper
|
hepdata
Pythia 6 (345:AMBT2B):
data
|
generator card
Pythia 6 (346:AUET2B):
data
|
generator card
Pythia 6 (370:P2012):
data
|
generator card
Pythia 6 (Def):
data
|
generator card
Pythia 8 (Def):
data
|
generator card
details
Download as:
.pdf
.eps
.png
.script
#
Analysis ID:
ATLAS_2019_I1736531
Hist ID:
/ATLAS_2019_I1736531/d277-x01-y01
ATLAS experiment:
data
|
article paper
|
hepdata
Pythia 6 (345:AMBT2B):
data
|
generator card
Pythia 6 (346:AUET2B):
data
|
generator card
Pythia 6 (370:P2012):
data
|
generator card
Pythia 6 (Def):
data
|
generator card
Pythia 8 (Def):
data
|
generator card
details
Download as:
.pdf
.eps
.png
.script
#
Analysis ID:
ATLAS_2019_I1736531
Hist ID:
/ATLAS_2019_I1736531/d109-x01-y01
ATLAS experiment:
data
|
article paper
|
hepdata
Pythia 6 (345:AMBT2B):
data
|
generator card
Pythia 6 (346:AUET2B):
data
|
generator card
Pythia 6 (370:P2012):
data
|
generator card
Pythia 6 (Def):
data
|
generator card
Pythia 8 (Def):
data
|
generator card
details
Download as:
.pdf
.eps
.png
.script
#
Analysis ID:
ATLAS_2019_I1736531
Hist ID:
/ATLAS_2019_I1736531/d117-x01-y01
ATLAS experiment:
data
|
article paper
|
hepdata
Pythia 6 (345:AMBT2B):
data
|
generator card
Pythia 6 (346:AUET2B):
data
|
generator card
Pythia 6 (370:P2012):
data
|
generator card
Pythia 6 (Def):
data
|
generator card
Pythia 8 (Def):
data
|
generator card
details
Download as:
.pdf
.eps
.png
.script
#
Analysis ID:
ATLAS_2019_I1736531
Hist ID:
/ATLAS_2019_I1736531/d125-x01-y01
ATLAS experiment:
data
|
article paper
|
hepdata
Pythia 6 (345:AMBT2B):
data
|
generator card
Pythia 6 (346:AUET2B):
data
|
generator card
Pythia 6 (370:P2012):
data
|
generator card
Pythia 6 (Def):
data
|
generator card
Pythia 8 (Def):
data
|
generator card
details
Download as:
.pdf
.eps
.png
.script
#
Analysis ID:
ATLAS_2019_I1736531
Hist ID:
/ATLAS_2019_I1736531/d253-x01-y01
ATLAS experiment:
data
|
article paper
|
hepdata
Pythia 6 (345:AMBT2B):
data
|
generator card
Pythia 6 (346:AUET2B):
data
|
generator card
Pythia 6 (370:P2012):
data
|
generator card
Pythia 6 (Def):
data
|
generator card
Pythia 8 (Def):
data
|
generator card
details
Download as:
.pdf
.eps
.png
.script
#
Analysis ID:
ATLAS_2019_I1736531
Hist ID:
/ATLAS_2019_I1736531/d261-x01-y01
ATLAS experiment:
data
|
article paper
|
hepdata
Pythia 6 (345:AMBT2B):
data
|
generator card
Pythia 6 (346:AUET2B):
data
|
generator card
Pythia 6 (370:P2012):
data
|
generator card
Pythia 6 (Def):
data
|
generator card
Pythia 8 (Def):
data
|
generator card
details
Download as:
.pdf
.eps
.png
.script
#
Analysis ID:
ATLAS_2019_I1736531
Hist ID:
/ATLAS_2019_I1736531/d269-x01-y01
ATLAS experiment:
data
|
article paper
|
hepdata
Pythia 6 (345:AMBT2B):
data
|
generator card
Pythia 6 (346:AUET2B):
data
|
generator card
Pythia 6 (370:P2012):
data
|
generator card
Pythia 6 (Def):
data
|
generator card
Pythia 8 (Def):
data
|
generator card