LHC@HOME
CARDS
COMPARISON
Tunes
Generators
PLOTS
4-lepton
b
b
Elastic
Heavy Ion : minbias
Jets
Soft QCD (inelastic)
Soft QCD (nsd only)
Total σ
Top (t-channel)
Top (all)
Top (parton level)
Top (t
t
)
Underlying Event
W+Jet
W
WW
Z+Jet
ee : γ*/Z (hadronic)
Z (Drell-Yan)
ABOUT
Z (Drell-Yan)
Underlying event
<Nch> vs p
T
Z
<p
T
>
<p
T
> vs p
T
Z
Σ(pT) vs p
T
Z
p
T
spectrum
Nch
Scalar Σ(p
T
)
<pT> vs Nch
<pT>
Z
vs Nch
ll.phiStar_norm
nch-vs-pt-trnsDif
sumpt-vs-pt-trnsDif
z.m
pT Z
z.pt._z.pt
z.pt_norm
y Z
z.y_norm
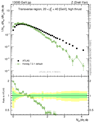
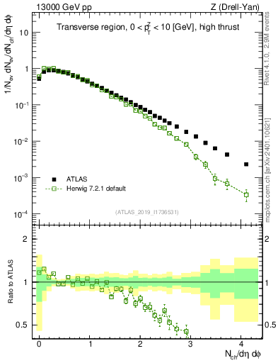
Transverse
<pT> vs p
T
lead
Max(pT) vs p
T
lead
<Nch> vs p
T
lead
Σ(pT) vs p
T
lead
Toward
<pT> vs p
T
lead
Max(pT) vs p
T
lead
<Nch> vs p
T
lead
Σ(pT) vs p
T
lead
Jet Substructure
Splitting scale d0
Splitting scale d1
Splitting scale d2
Splitting scale d3
Splitting scale d4
Splitting scale d5
Splitting scale d6
Splitting scale d7
Dilepton
Δη
m
φ
*
η
φ
*
η
ratio
p
T
y
Away
<Nch> vs p
T
lead
Σ(pT) vs p
T
lead
TransMAX
<Nch> vs p
T
lead
Σ(pT) vs p
T
lead
TransMIN
<Nch> vs p
T
lead
Σ(pT) vs p
T
lead
Jet Multiplicities
Jet multiplicity
Ratios of jet multiplicity
Z (Drell-Yan) : Underlying event : Nch
General-Purpose MCs : Herwig vs Pythia
General-Purpose MCs
Main
Herwig vs Pythia
Pythia 6 vs 8
All C++ Generators
Soft-Inclusive MCs
Min-Bias Tunes
UE Tunes
EPOS vs Pythia
Pythia 8
Matched/Merged MCs
Main
vs GPMCs
Powheg-Box
Herwig
Main
Herwig++
Powheg
Herwig7 vs Pythia
Herwig7 vs Sherpa
Pythia 8
Main
A14
AU2-PDFs
Diffraction
LEP
Rad Variations
No CR
4Cx
Tevatron
Py8 vs Py6
Py8 vs Herwig
Py8 vs Sherpa
Pythia 6
Py6 vs Py8
Sherpa
Main
Matching/Merging
Customize
ℹ️
Choose generators/versions/tunes to plot : either from a pre-defined preset (left button) or from all available MCs (right button)
pp @ 13000 GeV
details
Download as:
.pdf
.eps
.png
.script
#
Analysis ID:
ATLAS_2019_I1736531
Hist ID:
/ATLAS_2019_I1736531/d97-x01-y01
ATLAS experiment:
data
|
article paper
|
hepdata
Herwig 7 (Def):
data
|
generator card
Pythia 8 (Def):
data
|
generator card
details
Download as:
.pdf
.eps
.png
.script
#
Analysis ID:
ATLAS_2019_I1736531
Hist ID:
/ATLAS_2019_I1736531/d425-x01-y01
ATLAS experiment:
data
|
article paper
|
hepdata
Herwig 7 (Def):
data
|
generator card
Pythia 8 (Def):
data
|
generator card
details
Download as:
.pdf
.eps
.png
.script
#
Analysis ID:
ATLAS_2019_I1736531
Hist ID:
/ATLAS_2019_I1736531/d424-x01-y01
ATLAS experiment:
data
|
article paper
|
hepdata
Herwig 7 (Def):
data
|
generator card
Pythia 8 (Def):
data
|
generator card
details
Download as:
.pdf
.eps
.png
.script
#
Analysis ID:
ATLAS_2019_I1736531
Hist ID:
/ATLAS_2019_I1736531/d423-x01-y01
ATLAS experiment:
data
|
article paper
|
hepdata
Herwig 7 (Def):
data
|
generator card
Pythia 8 (Def):
data
|
generator card
details
Download as:
.pdf
.eps
.png
.script
#
Analysis ID:
ATLAS_2019_I1736531
Hist ID:
/ATLAS_2019_I1736531/d422-x01-y01
ATLAS experiment:
data
|
article paper
|
hepdata
Herwig 7 (Def):
data
|
generator card
Pythia 8 (Def):
data
|
generator card
details
Download as:
.pdf
.eps
.png
.script
#
Analysis ID:
ATLAS_2019_I1736531
Hist ID:
/ATLAS_2019_I1736531/d417-x01-y01
ATLAS experiment:
data
|
article paper
|
hepdata
Herwig 7 (Def):
data
|
generator card
Pythia 8 (Def):
data
|
generator card
details
Download as:
.pdf
.eps
.png
.script
#
Analysis ID:
ATLAS_2019_I1736531
Hist ID:
/ATLAS_2019_I1736531/d416-x01-y01
ATLAS experiment:
data
|
article paper
|
hepdata
Herwig 7 (Def):
data
|
generator card
Pythia 8 (Def):
data
|
generator card
details
Download as:
.pdf
.eps
.png
.script
#
Analysis ID:
ATLAS_2019_I1736531
Hist ID:
/ATLAS_2019_I1736531/d415-x01-y01
ATLAS experiment:
data
|
article paper
|
hepdata
Herwig 7 (Def):
data
|
generator card
Pythia 8 (Def):
data
|
generator card
details
Download as:
.pdf
.eps
.png
.script
#
Analysis ID:
ATLAS_2019_I1736531
Hist ID:
/ATLAS_2019_I1736531/d414-x01-y01
ATLAS experiment:
data
|
article paper
|
hepdata
Herwig 7 (Def):
data
|
generator card
Pythia 8 (Def):
data
|
generator card
details
Download as:
.pdf
.eps
.png
.script
#
Analysis ID:
ATLAS_2019_I1736531
Hist ID:
/ATLAS_2019_I1736531/d409-x01-y01
ATLAS experiment:
data
|
article paper
|
hepdata
Herwig 7 (Def):
data
|
generator card
Pythia 8 (Def):
data
|
generator card
details
Download as:
.pdf
.eps
.png
.script
#
Analysis ID:
ATLAS_2019_I1736531
Hist ID:
/ATLAS_2019_I1736531/d408-x01-y01
ATLAS experiment:
data
|
article paper
|
hepdata
Herwig 7 (Def):
data
|
generator card
Pythia 8 (Def):
data
|
generator card
details
Download as:
.pdf
.eps
.png
.script
#
Analysis ID:
ATLAS_2019_I1736531
Hist ID:
/ATLAS_2019_I1736531/d407-x01-y01
ATLAS experiment:
data
|
article paper
|
hepdata
Herwig 7 (Def):
data
|
generator card
Pythia 8 (Def):
data
|
generator card
details
Download as:
.pdf
.eps
.png
.script
#
Analysis ID:
ATLAS_2019_I1736531
Hist ID:
/ATLAS_2019_I1736531/d406-x01-y01
ATLAS experiment:
data
|
article paper
|
hepdata
Herwig 7 (Def):
data
|
generator card
Pythia 8 (Def):
data
|
generator card
details
Download as:
.pdf
.eps
.png
.script
#
Analysis ID:
ATLAS_2019_I1736531
Hist ID:
/ATLAS_2019_I1736531/d281-x01-y01
ATLAS experiment:
data
|
article paper
|
hepdata
Herwig 7 (Def):
data
|
generator card
Pythia 8 (Def):
data
|
generator card
details
Download as:
.pdf
.eps
.png
.script
#
Analysis ID:
ATLAS_2019_I1736531
Hist ID:
/ATLAS_2019_I1736531/d430-x01-y01
ATLAS experiment:
data
|
article paper
|
hepdata
Herwig 7 (Def):
data
|
generator card
Pythia 8 (Def):
data
|
generator card
details
Download as:
.pdf
.eps
.png
.script
#
Analysis ID:
ATLAS_2019_I1736531
Hist ID:
/ATLAS_2019_I1736531/d431-x01-y01
ATLAS experiment:
data
|
article paper
|
hepdata
Herwig 7 (Def):
data
|
generator card
Pythia 8 (Def):
data
|
generator card
details
Download as:
.pdf
.eps
.png
.script
#
Analysis ID:
ATLAS_2019_I1736531
Hist ID:
/ATLAS_2019_I1736531/d96-x01-y01
ATLAS experiment:
data
|
article paper
|
hepdata
Herwig 7 (Def):
data
|
generator card
Pythia 8 (Def):
data
|
generator card
details
Download as:
.pdf
.eps
.png
.script
#
Analysis ID:
ATLAS_2019_I1736531
Hist ID:
/ATLAS_2019_I1736531/d95-x01-y01
ATLAS experiment:
data
|
article paper
|
hepdata
Herwig 7 (Def):
data
|
generator card
Pythia 8 (Def):
data
|
generator card
details
Download as:
.pdf
.eps
.png
.script
#
Analysis ID:
ATLAS_2019_I1736531
Hist ID:
/ATLAS_2019_I1736531/d94-x01-y01
ATLAS experiment:
data
|
article paper
|
hepdata
Herwig 7 (Def):
data
|
generator card
Pythia 8 (Def):
data
|
generator card
details
Download as:
.pdf
.eps
.png
.script
#
Analysis ID:
ATLAS_2019_I1736531
Hist ID:
/ATLAS_2019_I1736531/d89-x01-y01
ATLAS experiment:
data
|
article paper
|
hepdata
Herwig 7 (Def):
data
|
generator card
Pythia 8 (Def):
data
|
generator card
details
Download as:
.pdf
.eps
.png
.script
#
Analysis ID:
ATLAS_2019_I1736531
Hist ID:
/ATLAS_2019_I1736531/d88-x01-y01
ATLAS experiment:
data
|
article paper
|
hepdata
Herwig 7 (Def):
data
|
generator card
Pythia 8 (Def):
data
|
generator card
details
Download as:
.pdf
.eps
.png
.script
#
Analysis ID:
ATLAS_2019_I1736531
Hist ID:
/ATLAS_2019_I1736531/d87-x01-y01
ATLAS experiment:
data
|
article paper
|
hepdata
Herwig 7 (Def):
data
|
generator card
Pythia 8 (Def):
data
|
generator card
details
Download as:
.pdf
.eps
.png
.script
#
Analysis ID:
ATLAS_2019_I1736531
Hist ID:
/ATLAS_2019_I1736531/d86-x01-y01
ATLAS experiment:
data
|
article paper
|
hepdata
Herwig 7 (Def):
data
|
generator card
Pythia 8 (Def):
data
|
generator card
details
Download as:
.pdf
.eps
.png
.script
#
Analysis ID:
ATLAS_2019_I1736531
Hist ID:
/ATLAS_2019_I1736531/d441-x01-y01
ATLAS experiment:
data
|
article paper
|
hepdata
Herwig 7 (Def):
data
|
generator card
Pythia 8 (Def):
data
|
generator card
details
Download as:
.pdf
.eps
.png
.script
#
Analysis ID:
ATLAS_2019_I1736531
Hist ID:
/ATLAS_2019_I1736531/d440-x01-y01
ATLAS experiment:
data
|
article paper
|
hepdata
Herwig 7 (Def):
data
|
generator card
Pythia 8 (Def):
data
|
generator card
details
Download as:
.pdf
.eps
.png
.script
#
Analysis ID:
ATLAS_2019_I1736531
Hist ID:
/ATLAS_2019_I1736531/d439-x01-y01
ATLAS experiment:
data
|
article paper
|
hepdata
Herwig 7 (Def):
data
|
generator card
Pythia 8 (Def):
data
|
generator card
details
Download as:
.pdf
.eps
.png
.script
#
Analysis ID:
ATLAS_2019_I1736531
Hist ID:
/ATLAS_2019_I1736531/d438-x01-y01
ATLAS experiment:
data
|
article paper
|
hepdata
Herwig 7 (Def):
data
|
generator card
Pythia 8 (Def):
data
|
generator card
details
Download as:
.pdf
.eps
.png
.script
#
Analysis ID:
ATLAS_2019_I1736531
Hist ID:
/ATLAS_2019_I1736531/d433-x01-y01
ATLAS experiment:
data
|
article paper
|
hepdata
Herwig 7 (Def):
data
|
generator card
Pythia 8 (Def):
data
|
generator card
details
Download as:
.pdf
.eps
.png
.script
#
Analysis ID:
ATLAS_2019_I1736531
Hist ID:
/ATLAS_2019_I1736531/d432-x01-y01
ATLAS experiment:
data
|
article paper
|
hepdata
Herwig 7 (Def):
data
|
generator card
Pythia 8 (Def):
data
|
generator card
details
Download as:
.pdf
.eps
.png
.script
#
Analysis ID:
ATLAS_2019_I1736531
Hist ID:
/ATLAS_2019_I1736531/d280-x01-y01
ATLAS experiment:
data
|
article paper
|
hepdata
Herwig 7 (Def):
data
|
generator card
Pythia 8 (Def):
data
|
generator card
details
Download as:
.pdf
.eps
.png
.script
#
Analysis ID:
ATLAS_2019_I1736531
Hist ID:
/ATLAS_2019_I1736531/d102-x01-y01
ATLAS experiment:
data
|
article paper
|
hepdata
Herwig 7 (Def):
data
|
generator card
Pythia 8 (Def):
data
|
generator card
details
Download as:
.pdf
.eps
.png
.script
#
Analysis ID:
ATLAS_2019_I1736531
Hist ID:
/ATLAS_2019_I1736531/d247-x01-y01
ATLAS experiment:
data
|
article paper
|
hepdata
Herwig 7 (Def):
data
|
generator card
Pythia 8 (Def):
data
|
generator card
details
Download as:
.pdf
.eps
.png
.script
#
Analysis ID:
ATLAS_2019_I1736531
Hist ID:
/ATLAS_2019_I1736531/d246-x01-y01
ATLAS experiment:
data
|
article paper
|
hepdata
Herwig 7 (Def):
data
|
generator card
Pythia 8 (Def):
data
|
generator card
details
Download as:
.pdf
.eps
.png
.script
#
Analysis ID:
ATLAS_2019_I1736531
Hist ID:
/ATLAS_2019_I1736531/d121-x01-y01
ATLAS experiment:
data
|
article paper
|
hepdata
Herwig 7 (Def):
data
|
generator card
Pythia 8 (Def):
data
|
generator card
details
Download as:
.pdf
.eps
.png
.script
#
Analysis ID:
ATLAS_2019_I1736531
Hist ID:
/ATLAS_2019_I1736531/d120-x01-y01
ATLAS experiment:
data
|
article paper
|
hepdata
Herwig 7 (Def):
data
|
generator card
Pythia 8 (Def):
data
|
generator card
details
Download as:
.pdf
.eps
.png
.script
#
Analysis ID:
ATLAS_2019_I1736531
Hist ID:
/ATLAS_2019_I1736531/d119-x01-y01
ATLAS experiment:
data
|
article paper
|
hepdata
Herwig 7 (Def):
data
|
generator card
Pythia 8 (Def):
data
|
generator card
details
Download as:
.pdf
.eps
.png
.script
#
Analysis ID:
ATLAS_2019_I1736531
Hist ID:
/ATLAS_2019_I1736531/d118-x01-y01
ATLAS experiment:
data
|
article paper
|
hepdata
Herwig 7 (Def):
data
|
generator card
Pythia 8 (Def):
data
|
generator card
details
Download as:
.pdf
.eps
.png
.script
#
Analysis ID:
ATLAS_2019_I1736531
Hist ID:
/ATLAS_2019_I1736531/d113-x01-y01
ATLAS experiment:
data
|
article paper
|
hepdata
Herwig 7 (Def):
data
|
generator card
Pythia 8 (Def):
data
|
generator card
details
Download as:
.pdf
.eps
.png
.script
#
Analysis ID:
ATLAS_2019_I1736531
Hist ID:
/ATLAS_2019_I1736531/d112-x01-y01
ATLAS experiment:
data
|
article paper
|
hepdata
Herwig 7 (Def):
data
|
generator card
Pythia 8 (Def):
data
|
generator card
details
Download as:
.pdf
.eps
.png
.script
#
Analysis ID:
ATLAS_2019_I1736531
Hist ID:
/ATLAS_2019_I1736531/d111-x01-y01
ATLAS experiment:
data
|
article paper
|
hepdata
Herwig 7 (Def):
data
|
generator card
Pythia 8 (Def):
data
|
generator card
details
Download as:
.pdf
.eps
.png
.script
#
Analysis ID:
ATLAS_2019_I1736531
Hist ID:
/ATLAS_2019_I1736531/d110-x01-y01
ATLAS experiment:
data
|
article paper
|
hepdata
Herwig 7 (Def):
data
|
generator card
Pythia 8 (Def):
data
|
generator card
details
Download as:
.pdf
.eps
.png
.script
#
Analysis ID:
ATLAS_2019_I1736531
Hist ID:
/ATLAS_2019_I1736531/d105-x01-y01
ATLAS experiment:
data
|
article paper
|
hepdata
Herwig 7 (Def):
data
|
generator card
Pythia 8 (Def):
data
|
generator card
details
Download as:
.pdf
.eps
.png
.script
#
Analysis ID:
ATLAS_2019_I1736531
Hist ID:
/ATLAS_2019_I1736531/d104-x01-y01
ATLAS experiment:
data
|
article paper
|
hepdata
Herwig 7 (Def):
data
|
generator card
Pythia 8 (Def):
data
|
generator card
details
Download as:
.pdf
.eps
.png
.script
#
Analysis ID:
ATLAS_2019_I1736531
Hist ID:
/ATLAS_2019_I1736531/d103-x01-y01
ATLAS experiment:
data
|
article paper
|
hepdata
Herwig 7 (Def):
data
|
generator card
Pythia 8 (Def):
data
|
generator card
details
Download as:
.pdf
.eps
.png
.script
#
Analysis ID:
ATLAS_2019_I1736531
Hist ID:
/ATLAS_2019_I1736531/d248-x01-y01
ATLAS experiment:
data
|
article paper
|
hepdata
Herwig 7 (Def):
data
|
generator card
Pythia 8 (Def):
data
|
generator card
details
Download as:
.pdf
.eps
.png
.script
#
Analysis ID:
ATLAS_2019_I1736531
Hist ID:
/ATLAS_2019_I1736531/d249-x01-y01
ATLAS experiment:
data
|
article paper
|
hepdata
Herwig 7 (Def):
data
|
generator card
Pythia 8 (Def):
data
|
generator card
details
Download as:
.pdf
.eps
.png
.script
#
Analysis ID:
ATLAS_2019_I1736531
Hist ID:
/ATLAS_2019_I1736531/d279-x01-y01
ATLAS experiment:
data
|
article paper
|
hepdata
Herwig 7 (Def):
data
|
generator card
Pythia 8 (Def):
data
|
generator card
details
Download as:
.pdf
.eps
.png
.script
#
Analysis ID:
ATLAS_2019_I1736531
Hist ID:
/ATLAS_2019_I1736531/d278-x01-y01
ATLAS experiment:
data
|
article paper
|
hepdata
Herwig 7 (Def):
data
|
generator card
Pythia 8 (Def):
data
|
generator card
details
Download as:
.pdf
.eps
.png
.script
#
Analysis ID:
ATLAS_2019_I1736531
Hist ID:
/ATLAS_2019_I1736531/d273-x01-y01
ATLAS experiment:
data
|
article paper
|
hepdata
Herwig 7 (Def):
data
|
generator card
Pythia 8 (Def):
data
|
generator card
details
Download as:
.pdf
.eps
.png
.script
#
Analysis ID:
ATLAS_2019_I1736531
Hist ID:
/ATLAS_2019_I1736531/d272-x01-y01
ATLAS experiment:
data
|
article paper
|
hepdata
Herwig 7 (Def):
data
|
generator card
Pythia 8 (Def):
data
|
generator card
details
Download as:
.pdf
.eps
.png
.script
#
Analysis ID:
ATLAS_2019_I1736531
Hist ID:
/ATLAS_2019_I1736531/d271-x01-y01
ATLAS experiment:
data
|
article paper
|
hepdata
Herwig 7 (Def):
data
|
generator card
Pythia 8 (Def):
data
|
generator card
details
Download as:
.pdf
.eps
.png
.script
#
Analysis ID:
ATLAS_2019_I1736531
Hist ID:
/ATLAS_2019_I1736531/d270-x01-y01
ATLAS experiment:
data
|
article paper
|
hepdata
Herwig 7 (Def):
data
|
generator card
Pythia 8 (Def):
data
|
generator card
details
Download as:
.pdf
.eps
.png
.script
#
Analysis ID:
ATLAS_2019_I1736531
Hist ID:
/ATLAS_2019_I1736531/d265-x01-y01
ATLAS experiment:
data
|
article paper
|
hepdata
Herwig 7 (Def):
data
|
generator card
Pythia 8 (Def):
data
|
generator card
details
Download as:
.pdf
.eps
.png
.script
#
Analysis ID:
ATLAS_2019_I1736531
Hist ID:
/ATLAS_2019_I1736531/d264-x01-y01
ATLAS experiment:
data
|
article paper
|
hepdata
Herwig 7 (Def):
data
|
generator card
Pythia 8 (Def):
data
|
generator card
details
Download as:
.pdf
.eps
.png
.script
#
Analysis ID:
ATLAS_2019_I1736531
Hist ID:
/ATLAS_2019_I1736531/d254-x01-y01
ATLAS experiment:
data
|
article paper
|
hepdata
Herwig 7 (Def):
data
|
generator card
Pythia 8 (Def):
data
|
generator card
details
Download as:
.pdf
.eps
.png
.script
#
Analysis ID:
ATLAS_2019_I1736531
Hist ID:
/ATLAS_2019_I1736531/d255-x01-y01
ATLAS experiment:
data
|
article paper
|
hepdata
Herwig 7 (Def):
data
|
generator card
Pythia 8 (Def):
data
|
generator card
details
Download as:
.pdf
.eps
.png
.script
#
Analysis ID:
ATLAS_2019_I1736531
Hist ID:
/ATLAS_2019_I1736531/d256-x01-y01
ATLAS experiment:
data
|
article paper
|
hepdata
Herwig 7 (Def):
data
|
generator card
Pythia 8 (Def):
data
|
generator card
details
Download as:
.pdf
.eps
.png
.script
#
Analysis ID:
ATLAS_2019_I1736531
Hist ID:
/ATLAS_2019_I1736531/d257-x01-y01
ATLAS experiment:
data
|
article paper
|
hepdata
Herwig 7 (Def):
data
|
generator card
Pythia 8 (Def):
data
|
generator card
details
Download as:
.pdf
.eps
.png
.script
#
Analysis ID:
ATLAS_2019_I1736531
Hist ID:
/ATLAS_2019_I1736531/d262-x01-y01
ATLAS experiment:
data
|
article paper
|
hepdata
Herwig 7 (Def):
data
|
generator card
Pythia 8 (Def):
data
|
generator card
details
Download as:
.pdf
.eps
.png
.script
#
Analysis ID:
ATLAS_2019_I1736531
Hist ID:
/ATLAS_2019_I1736531/d263-x01-y01
ATLAS experiment:
data
|
article paper
|
hepdata
Herwig 7 (Def):
data
|
generator card
Pythia 8 (Def):
data
|
generator card