LHC@HOME
CARDS
COMPARISON
Tunes
Generators
PLOTS
4-lepton
b
b
Elastic
Heavy Ion : minbias
Jets
Soft QCD (inelastic)
Soft QCD (nsd only)
Total σ
Top (t-channel)
Top (all)
Top (parton level)
Top (t
t
)
Underlying Event
W+Jet
W
WW
Z+Jet
ee : γ*/Z (hadronic)
Z (Drell-Yan)
ABOUT
ATLAS 2019 I1736531
ALEPH 1996 I428072
ALEPH 1999 I507422
ALEPH 2004 I636645
ALICE 2010 I852264
ALICE 2010 I852450
ALICE 2010 I860416
ALICE 2011 I881474
ALICE 2011 I885104
ALICE 2012 I1116147
ALICE 2012 I1127497
ALICE 2012 I1181770
ALICE 2014 I1300380
ALICE 2015 I1357424
ALICE 2017 I1511870
ALICE 2019 I1672860
ALICE 2020 I1797443
ALICE 2021 I1946131
ALICE 2022 I1868463
ATLAS 2010 I849050
ATLAS 2010 I871366
ATLAS 2010 I879407
ATLAS 2010 I882534
ATLAS 2011 I882984
ATLAS 2011 I889546
ATLAS 2011 I892704
ATLAS 2011 I894867
ATLAS 2011 I917526
ATLAS 2011 I917599
ATLAS 2011 I917931
ATLAS 2011 I926145
ATLAS 2012 I1084540
ATLAS 2012 I1094564
ATLAS 2012 I1094568
ATLAS 2012 I1119557
ATLAS 2012 I1183818
ATLAS 2013 I1243871
ATLAS 2014 I1282441
ATLAS 2014 I1304688
ATLAS 2015 I1360290
ATLAS 2015 I1393758
ATLAS 2016 I1419070
ATLAS 2016 I1467454
ATLAS 2017 I1509919
ATLAS 2017 I1514251
ATLAS 2017 I1589844
ATLAS 2019 I1718132
ATLAS 2019 I1720442
ATLAS 2019 I1724098
ATLAS 2019 I1725190
ATLAS 2019 I1734263
ATLAS 2019 I1736531
ATLAS 2019 I1740909
ATLAS 2019 I1744201
ATLAS 2019 I1746286
ATLAS 2019 I1750330
ATLAS 2019 I1759875
ATLAS 2019 I1762584
ATLAS 2019 I1768911
ATLAS 2019 I1772062
ATLAS 2020 I1788444
ATLAS 2020 I1790256
ATLAS 2020 I1801434
ATLAS 2021 I1849535
ATLAS 2021 I1852328
ATLAS 2021 I1941095
ATLAS 2022 I2037744
ATLAS 2022 I2077570
ATLAS 2022 I2077575
ATLAS 2022 I2152933
ATLAS 2023 I2628732
CDF 1988 I263320
CDF 1990 I283352
CDF 1994 I374155
CDF 2000 I505738
CDF 2001 I564673
CDF 2002 I567774
CDF 2005 I682179
CDF 2009 I817466
CDF 2009 NOTE 9936
CDF 2010 I849042
CDF 2012 I1124333
CDF 2015 I1388868
CMS 2010 I845323
CMS 2010 I855299
CMS 2011 I879315
CMS 2011 I884811
CMS 2011 I885663
CMS 2011 I886332
CMS 2011 I889175
CMS 2011 I889807
CMS 2011 I890166
CMS 2011 I902309
CMS 2011 I912560
CMS 2011 I916908
CMS 2011 I930319
CMS 2012 I1087342
CMS 2012 I1090423
CMS 2012 I1102908
CMS 2012 I1184941
CMS 2012 I1193338
CMS 2012 PAS QCD 11 010
CMS 2013 I1218372
CMS 2013 I1224539
CMS 2013 I1261026
CMS 2013 I1265659
CMS 2015 I1327224
CMS 2015 I1384119
CMS 2015 I1385107
CMS 2016 I1421646
CMS 2016 I1430892
CMS 2016 I1486238
CMS 2017 I1511284
CMS 2017 I1518399
CMS 2017 I1519995
CMS 2017 I1605749
CMS 2018 I1703993
CMS 2019 I1705068
CMS 2019 I1719955
CMS 2019 I1744604
CMS 2019 I1753680
CMS 2019 I1753720
CMS 2019 I1764472
CMS 2020 I1776758
CMS 2020 I1814328
CMS 2020 I1837084
CMS 2021 I1847230
CMS 2021 I1866118
CMS 2021 I1901295
CMS 2021 I1920187
CMS 2021 I1932460
CMS 2021 I1963239
CMS 2021 I1972986
CMS 2022 I2079374
CMS 2022 I2129461
CMS EWK 10 012
D0 2010 I856972
D0 2010 I871787
D0 2011 I895662
DELPHI 1991 I301657
DELPHI 1995 I394716
DELPHI 1996 I424112
DELPHI 2011 I890503
HRS 1986 I18502
L3 1992 I336180
LHCB 2010 I865584
LHCB 2010 I867355
LHCB 2011 I917009
LHCB 2011 I919315
LHCB 2012 I1119400
LHCB 2012 I1208102
LHCB 2013 I1208105
LHCB 2013 I1218996
LHCB 2020 I1787090
LHCB 2021 I1990313
LHCF 2012 I1115479
LHCF 2020 I1783943
MC FBA TTBAR
MC GAPS
OPAL 1992 I321190
OPAL 1993 I342766
OPAL 1998 I472637
OPAL 2003 I599181
OPAL 2004 I669402
PHENIX 2019 I1672015
SLD 2002 I582951
SLD 2004 I630327
STAR 2006 I709170
STAR 2006 I722757
STAR 2006 I723509
STAR 2008 I793126
STAR 2009 UE HELEN
TASSO 1989 I277658
TOTEM 2011 I930960
TOTEM 2012 I1115294
TOTEM 2012 I1220862
UA1 1990 I280412
UA5 1982 I176647
UA5 1986 I233599
UA5 1987 I244829
UA5 1988 I263399
UA5 1989 I267179
Z+Jet
Underlying event
<p
T
>
p
T
spectrum
Nch
Scalar Σ(p
T
)
Z (Drell-Yan)
Underlying event
<Nch> vs p
T
Z
<p
T
>
<p
T
> vs p
T
Z
Σ(pT) vs p
T
Z
p
T
spectrum
Nch
Scalar Σ(p
T
)
Z+Jet : Underlying event : Nch
Pythia 6 : Tevatron
General-Purpose MCs
Main
Herwig vs Pythia
Pythia 6 vs 8
All C++ Generators
Soft-Inclusive MCs
Min-Bias Tunes
UE Tunes
EPOS vs Pythia
Pythia 8
Matched/Merged MCs
Main
vs GPMCs
Powheg-Box
Herwig
Main
Herwig++
Powheg
Herwig7 vs Pythia
Herwig7 vs Sherpa
Pythia 8
Main
A14
AU2-PDFs
Diffraction
LEP
Rad Variations
No CR
4Cx
Tevatron
Py8 vs Py6
Py8 vs Herwig
Py8 vs Sherpa
Pythia 6
Main
Py6 vs Py8
P12-RadFrag
P12-MpiCR
AMBT2 vs Z2
AUET2B-PDFs
P12-PDFs
CTEQ6 vs LO*
IBK LOPDFs
IBK NLOPDFs
Perugia History
P11-All
LHC tunes
Tevatron
Old vs P12
Sherpa
Main
Matching/Merging
Customize
ℹ️
Choose generators/versions/tunes to plot : either from a pre-defined preset (left button) or from all available MCs (right button)
pp @ 13000 GeV
details
Download as:
.pdf
.eps
.png
.script
#
Analysis ID:
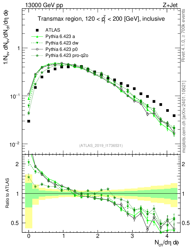
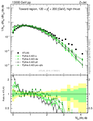
ATLAS_2019_I1736531
Hist ID:
/ATLAS_2019_I1736531/d98-x01-y01
ATLAS experiment:
data
|
article paper
|
hepdata
Pythia 6 (100:A):
data
|
generator card
Pythia 6 (103:DW):
data
|
generator card
Pythia 6 (320:P0):
data
|
generator card
Pythia 6 (129:Pro-Q2O):
data
|
generator card
details
Download as:
.pdf
.eps
.png
.script
#
Analysis ID:
ATLAS_2019_I1736531
Hist ID:
/ATLAS_2019_I1736531/d91-x01-y01
ATLAS experiment:
data
|
article paper
|
hepdata
Pythia 6 (100:A):
data
|
generator card
Pythia 6 (103:DW):
data
|
generator card
Pythia 6 (320:P0):
data
|
generator card
Pythia 6 (129:Pro-Q2O):
data
|
generator card
details
Download as:
.pdf
.eps
.png
.script
#
Analysis ID:
ATLAS_2019_I1736531
Hist ID:
/ATLAS_2019_I1736531/d443-x01-y01
ATLAS experiment:
data
|
article paper
|
hepdata
Pythia 6 (100:A):
data
|
generator card
Pythia 6 (103:DW):
data
|
generator card
Pythia 6 (320:P0):
data
|
generator card
Pythia 6 (129:Pro-Q2O):
data
|
generator card
details
Download as:
.pdf
.eps
.png
.script
#
Analysis ID:
ATLAS_2019_I1736531
Hist ID:
/ATLAS_2019_I1736531/d435-x01-y01
ATLAS experiment:
data
|
article paper
|
hepdata
Pythia 6 (100:A):
data
|
generator card
Pythia 6 (103:DW):
data
|
generator card
Pythia 6 (320:P0):
data
|
generator card
Pythia 6 (129:Pro-Q2O):
data
|
generator card
details
Download as:
.pdf
.eps
.png
.script
#
Analysis ID:
ATLAS_2019_I1736531
Hist ID:
/ATLAS_2019_I1736531/d427-x01-y01
ATLAS experiment:
data
|
article paper
|
hepdata
Pythia 6 (100:A):
data
|
generator card
Pythia 6 (103:DW):
data
|
generator card
Pythia 6 (320:P0):
data
|
generator card
Pythia 6 (129:Pro-Q2O):
data
|
generator card
details
Download as:
.pdf
.eps
.png
.script
#
Analysis ID:
ATLAS_2019_I1736531
Hist ID:
/ATLAS_2019_I1736531/d419-x01-y01
ATLAS experiment:
data
|
article paper
|
hepdata
Pythia 6 (100:A):
data
|
generator card
Pythia 6 (103:DW):
data
|
generator card
Pythia 6 (320:P0):
data
|
generator card
Pythia 6 (129:Pro-Q2O):
data
|
generator card
details
Download as:
.pdf
.eps
.png
.script
#
Analysis ID:
ATLAS_2019_I1736531
Hist ID:
/ATLAS_2019_I1736531/d411-x01-y01
ATLAS experiment:
data
|
article paper
|
hepdata
Pythia 6 (100:A):
data
|
generator card
Pythia 6 (103:DW):
data
|
generator card
Pythia 6 (320:P0):
data
|
generator card
Pythia 6 (129:Pro-Q2O):
data
|
generator card
details
Download as:
.pdf
.eps
.png
.script
#
Analysis ID:
ATLAS_2019_I1736531
Hist ID:
/ATLAS_2019_I1736531/d283-x01-y01
ATLAS experiment:
data
|
article paper
|
hepdata
Pythia 6 (100:A):
data
|
generator card
Pythia 6 (103:DW):
data
|
generator card
Pythia 6 (320:P0):
data
|
generator card
Pythia 6 (129:Pro-Q2O):
data
|
generator card
details
Download as:
.pdf
.eps
.png
.script
#
Analysis ID:
ATLAS_2019_I1736531
Hist ID:
/ATLAS_2019_I1736531/d275-x01-y01
ATLAS experiment:
data
|
article paper
|
hepdata
Pythia 6 (100:A):
data
|
generator card
Pythia 6 (103:DW):
data
|
generator card
Pythia 6 (320:P0):
data
|
generator card
Pythia 6 (129:Pro-Q2O):
data
|
generator card
details
Download as:
.pdf
.eps
.png
.script
#
Analysis ID:
ATLAS_2019_I1736531
Hist ID:
/ATLAS_2019_I1736531/d267-x01-y01
ATLAS experiment:
data
|
article paper
|
hepdata
Pythia 6 (100:A):
data
|
generator card
Pythia 6 (103:DW):
data
|
generator card
Pythia 6 (320:P0):
data
|
generator card
Pythia 6 (129:Pro-Q2O):
data
|
generator card
details
Download as:
.pdf
.eps
.png
.script
#
Analysis ID:
ATLAS_2019_I1736531
Hist ID:
/ATLAS_2019_I1736531/d259-x01-y01
ATLAS experiment:
data
|
article paper
|
hepdata
Pythia 6 (100:A):
data
|
generator card
Pythia 6 (103:DW):
data
|
generator card
Pythia 6 (320:P0):
data
|
generator card
Pythia 6 (129:Pro-Q2O):
data
|
generator card
details
Download as:
.pdf
.eps
.png
.script
#
Analysis ID:
ATLAS_2019_I1736531
Hist ID:
/ATLAS_2019_I1736531/d251-x01-y01
ATLAS experiment:
data
|
article paper
|
hepdata
Pythia 6 (100:A):
data
|
generator card
Pythia 6 (103:DW):
data
|
generator card
Pythia 6 (320:P0):
data
|
generator card
Pythia 6 (129:Pro-Q2O):
data
|
generator card
details
Download as:
.pdf
.eps
.png
.script
#
Analysis ID:
ATLAS_2019_I1736531
Hist ID:
/ATLAS_2019_I1736531/d123-x01-y01
ATLAS experiment:
data
|
article paper
|
hepdata
Pythia 6 (100:A):
data
|
generator card
Pythia 6 (103:DW):
data
|
generator card
Pythia 6 (320:P0):
data
|
generator card
Pythia 6 (129:Pro-Q2O):
data
|
generator card
details
Download as:
.pdf
.eps
.png
.script
#
Analysis ID:
ATLAS_2019_I1736531
Hist ID:
/ATLAS_2019_I1736531/d115-x01-y01
ATLAS experiment:
data
|
article paper
|
hepdata
Pythia 6 (100:A):
data
|
generator card
Pythia 6 (103:DW):
data
|
generator card
Pythia 6 (320:P0):
data
|
generator card
Pythia 6 (129:Pro-Q2O):
data
|
generator card
details
Download as:
.pdf
.eps
.png
.script
#
Analysis ID:
ATLAS_2019_I1736531
Hist ID:
/ATLAS_2019_I1736531/d99-x01-y01
ATLAS experiment:
data
|
article paper
|
hepdata
Pythia 6 (100:A):
data
|
generator card
Pythia 6 (103:DW):
data
|
generator card
Pythia 6 (320:P0):
data
|
generator card
Pythia 6 (129:Pro-Q2O):
data
|
generator card
details
Download as:
.pdf
.eps
.png
.script
#
Analysis ID:
ATLAS_2019_I1736531
Hist ID:
/ATLAS_2019_I1736531/d106-x01-y01
ATLAS experiment:
data
|
article paper
|
hepdata
Pythia 6 (100:A):
data
|
generator card
Pythia 6 (103:DW):
data
|
generator card
Pythia 6 (320:P0):
data
|
generator card
Pythia 6 (129:Pro-Q2O):
data
|
generator card
details
Download as:
.pdf
.eps
.png
.script
#
Analysis ID:
ATLAS_2019_I1736531
Hist ID:
/ATLAS_2019_I1736531/d90-x01-y01
ATLAS experiment:
data
|
article paper
|
hepdata
Pythia 6 (100:A):
data
|
generator card
Pythia 6 (103:DW):
data
|
generator card
Pythia 6 (320:P0):
data
|
generator card
Pythia 6 (129:Pro-Q2O):
data
|
generator card
details
Download as:
.pdf
.eps
.png
.script
#
Analysis ID:
ATLAS_2019_I1736531
Hist ID:
/ATLAS_2019_I1736531/d442-x01-y01
ATLAS experiment:
data
|
article paper
|
hepdata
Pythia 6 (100:A):
data
|
generator card
Pythia 6 (103:DW):
data
|
generator card
Pythia 6 (320:P0):
data
|
generator card
Pythia 6 (129:Pro-Q2O):
data
|
generator card
details
Download as:
.pdf
.eps
.png
.script
#
Analysis ID:
ATLAS_2019_I1736531
Hist ID:
/ATLAS_2019_I1736531/d434-x01-y01
ATLAS experiment:
data
|
article paper
|
hepdata
Pythia 6 (100:A):
data
|
generator card
Pythia 6 (103:DW):
data
|
generator card
Pythia 6 (320:P0):
data
|
generator card
Pythia 6 (129:Pro-Q2O):
data
|
generator card
details
Download as:
.pdf
.eps
.png
.script
#
Analysis ID:
ATLAS_2019_I1736531
Hist ID:
/ATLAS_2019_I1736531/d426-x01-y01
ATLAS experiment:
data
|
article paper
|
hepdata
Pythia 6 (100:A):
data
|
generator card
Pythia 6 (103:DW):
data
|
generator card
Pythia 6 (320:P0):
data
|
generator card
Pythia 6 (129:Pro-Q2O):
data
|
generator card
details
Download as:
.pdf
.eps
.png
.script
#
Analysis ID:
ATLAS_2019_I1736531
Hist ID:
/ATLAS_2019_I1736531/d418-x01-y01
ATLAS experiment:
data
|
article paper
|
hepdata
Pythia 6 (100:A):
data
|
generator card
Pythia 6 (103:DW):
data
|
generator card
Pythia 6 (320:P0):
data
|
generator card
Pythia 6 (129:Pro-Q2O):
data
|
generator card
details
Download as:
.pdf
.eps
.png
.script
#
Analysis ID:
ATLAS_2019_I1736531
Hist ID:
/ATLAS_2019_I1736531/d410-x01-y01
ATLAS experiment:
data
|
article paper
|
hepdata
Pythia 6 (100:A):
data
|
generator card
Pythia 6 (103:DW):
data
|
generator card
Pythia 6 (320:P0):
data
|
generator card
Pythia 6 (129:Pro-Q2O):
data
|
generator card
details
Download as:
.pdf
.eps
.png
.script
#
Analysis ID:
ATLAS_2019_I1736531
Hist ID:
/ATLAS_2019_I1736531/d282-x01-y01
ATLAS experiment:
data
|
article paper
|
hepdata
Pythia 6 (100:A):
data
|
generator card
Pythia 6 (103:DW):
data
|
generator card
Pythia 6 (320:P0):
data
|
generator card
Pythia 6 (129:Pro-Q2O):
data
|
generator card
details
Download as:
.pdf
.eps
.png
.script
#
Analysis ID:
ATLAS_2019_I1736531
Hist ID:
/ATLAS_2019_I1736531/d274-x01-y01
ATLAS experiment:
data
|
article paper
|
hepdata
Pythia 6 (100:A):
data
|
generator card
Pythia 6 (103:DW):
data
|
generator card
Pythia 6 (320:P0):
data
|
generator card
Pythia 6 (129:Pro-Q2O):
data
|
generator card
details
Download as:
.pdf
.eps
.png
.script
#
Analysis ID:
ATLAS_2019_I1736531
Hist ID:
/ATLAS_2019_I1736531/d266-x01-y01
ATLAS experiment:
data
|
article paper
|
hepdata
Pythia 6 (100:A):
data
|
generator card
Pythia 6 (103:DW):
data
|
generator card
Pythia 6 (320:P0):
data
|
generator card
Pythia 6 (129:Pro-Q2O):
data
|
generator card
details
Download as:
.pdf
.eps
.png
.script
#
Analysis ID:
ATLAS_2019_I1736531
Hist ID:
/ATLAS_2019_I1736531/d258-x01-y01
ATLAS experiment:
data
|
article paper
|
hepdata
Pythia 6 (100:A):
data
|
generator card
Pythia 6 (103:DW):
data
|
generator card
Pythia 6 (320:P0):
data
|
generator card
Pythia 6 (129:Pro-Q2O):
data
|
generator card
details
Download as:
.pdf
.eps
.png
.script
#
Analysis ID:
ATLAS_2019_I1736531
Hist ID:
/ATLAS_2019_I1736531/d250-x01-y01
ATLAS experiment:
data
|
article paper
|
hepdata
Pythia 6 (100:A):
data
|
generator card
Pythia 6 (103:DW):
data
|
generator card
Pythia 6 (320:P0):
data
|
generator card
Pythia 6 (129:Pro-Q2O):
data
|
generator card
details
Download as:
.pdf
.eps
.png
.script
#
Analysis ID:
ATLAS_2019_I1736531
Hist ID:
/ATLAS_2019_I1736531/d122-x01-y01
ATLAS experiment:
data
|
article paper
|
hepdata
Pythia 6 (100:A):
data
|
generator card
Pythia 6 (103:DW):
data
|
generator card
Pythia 6 (320:P0):
data
|
generator card
Pythia 6 (129:Pro-Q2O):
data
|
generator card
details
Download as:
.pdf
.eps
.png
.script
#
Analysis ID:
ATLAS_2019_I1736531
Hist ID:
/ATLAS_2019_I1736531/d114-x01-y01
ATLAS experiment:
data
|
article paper
|
hepdata
Pythia 6 (100:A):
data
|
generator card
Pythia 6 (103:DW):
data
|
generator card
Pythia 6 (320:P0):
data
|
generator card
Pythia 6 (129:Pro-Q2O):
data
|
generator card
details
Download as:
.pdf
.eps
.png
.script
#
Analysis ID:
ATLAS_2019_I1736531
Hist ID:
/ATLAS_2019_I1736531/d107-x01-y01
ATLAS experiment:
data
|
article paper
|
hepdata
Pythia 6 (100:A):
data
|
generator card
Pythia 6 (103:DW):
data
|
generator card
Pythia 6 (320:P0):
data
|
generator card
Pythia 6 (129:Pro-Q2O):
data
|
generator card
details
Download as:
.pdf
.eps
.png
.script
#
Analysis ID:
ATLAS_2019_I1736531
Hist ID:
/ATLAS_2019_I1736531/d100-x01-y01
ATLAS experiment:
data
|
article paper
|
hepdata
Pythia 6 (100:A):
data
|
generator card
Pythia 6 (103:DW):
data
|
generator card
Pythia 6 (320:P0):
data
|
generator card
Pythia 6 (129:Pro-Q2O):
data
|
generator card
details
Download as:
.pdf
.eps
.png
.script
#
Analysis ID:
ATLAS_2019_I1736531
Hist ID:
/ATLAS_2019_I1736531/d444-x01-y01
ATLAS experiment:
data
|
article paper
|
hepdata
Pythia 6 (100:A):
data
|
generator card
Pythia 6 (103:DW):
data
|
generator card
Pythia 6 (320:P0):
data
|
generator card
Pythia 6 (129:Pro-Q2O):
data
|
generator card
details
Download as:
.pdf
.eps
.png
.script
#
Analysis ID:
ATLAS_2019_I1736531
Hist ID:
/ATLAS_2019_I1736531/d436-x01-y01
ATLAS experiment:
data
|
article paper
|
hepdata
Pythia 6 (100:A):
data
|
generator card
Pythia 6 (103:DW):
data
|
generator card
Pythia 6 (320:P0):
data
|
generator card
Pythia 6 (129:Pro-Q2O):
data
|
generator card
details
Download as:
.pdf
.eps
.png
.script
#
Analysis ID:
ATLAS_2019_I1736531
Hist ID:
/ATLAS_2019_I1736531/d428-x01-y01
ATLAS experiment:
data
|
article paper
|
hepdata
Pythia 6 (100:A):
data
|
generator card
Pythia 6 (103:DW):
data
|
generator card
Pythia 6 (320:P0):
data
|
generator card
Pythia 6 (129:Pro-Q2O):
data
|
generator card
details
Download as:
.pdf
.eps
.png
.script
#
Analysis ID:
ATLAS_2019_I1736531
Hist ID:
/ATLAS_2019_I1736531/d420-x01-y01
ATLAS experiment:
data
|
article paper
|
hepdata
Pythia 6 (100:A):
data
|
generator card
Pythia 6 (103:DW):
data
|
generator card
Pythia 6 (320:P0):
data
|
generator card
Pythia 6 (129:Pro-Q2O):
data
|
generator card
details
Download as:
.pdf
.eps
.png
.script
#
Analysis ID:
ATLAS_2019_I1736531
Hist ID:
/ATLAS_2019_I1736531/d412-x01-y01
ATLAS experiment:
data
|
article paper
|
hepdata
Pythia 6 (100:A):
data
|
generator card
Pythia 6 (103:DW):
data
|
generator card
Pythia 6 (320:P0):
data
|
generator card
Pythia 6 (129:Pro-Q2O):
data
|
generator card
details
Download as:
.pdf
.eps
.png
.script
#
Analysis ID:
ATLAS_2019_I1736531
Hist ID:
/ATLAS_2019_I1736531/d284-x01-y01
ATLAS experiment:
data
|
article paper
|
hepdata
Pythia 6 (100:A):
data
|
generator card
Pythia 6 (103:DW):
data
|
generator card
Pythia 6 (320:P0):
data
|
generator card
Pythia 6 (129:Pro-Q2O):
data
|
generator card
details
Download as:
.pdf
.eps
.png
.script
#
Analysis ID:
ATLAS_2019_I1736531
Hist ID:
/ATLAS_2019_I1736531/d276-x01-y01
ATLAS experiment:
data
|
article paper
|
hepdata
Pythia 6 (100:A):
data
|
generator card
Pythia 6 (103:DW):
data
|
generator card
Pythia 6 (320:P0):
data
|
generator card
Pythia 6 (129:Pro-Q2O):
data
|
generator card
details
Download as:
.pdf
.eps
.png
.script
#
Analysis ID:
ATLAS_2019_I1736531
Hist ID:
/ATLAS_2019_I1736531/d268-x01-y01
ATLAS experiment:
data
|
article paper
|
hepdata
Pythia 6 (100:A):
data
|
generator card
Pythia 6 (103:DW):
data
|
generator card
Pythia 6 (320:P0):
data
|
generator card
Pythia 6 (129:Pro-Q2O):
data
|
generator card
details
Download as:
.pdf
.eps
.png
.script
#
Analysis ID:
ATLAS_2019_I1736531
Hist ID:
/ATLAS_2019_I1736531/d260-x01-y01
ATLAS experiment:
data
|
article paper
|
hepdata
Pythia 6 (100:A):
data
|
generator card
Pythia 6 (103:DW):
data
|
generator card
Pythia 6 (320:P0):
data
|
generator card
Pythia 6 (129:Pro-Q2O):
data
|
generator card
details
Download as:
.pdf
.eps
.png
.script
#
Analysis ID:
ATLAS_2019_I1736531
Hist ID:
/ATLAS_2019_I1736531/d252-x01-y01
ATLAS experiment:
data
|
article paper
|
hepdata
Pythia 6 (100:A):
data
|
generator card
Pythia 6 (103:DW):
data
|
generator card
Pythia 6 (320:P0):
data
|
generator card
Pythia 6 (129:Pro-Q2O):
data
|
generator card
details
Download as:
.pdf
.eps
.png
.script
#
Analysis ID:
ATLAS_2019_I1736531
Hist ID:
/ATLAS_2019_I1736531/d124-x01-y01
ATLAS experiment:
data
|
article paper
|
hepdata
Pythia 6 (100:A):
data
|
generator card
Pythia 6 (103:DW):
data
|
generator card
Pythia 6 (320:P0):
data
|
generator card
Pythia 6 (129:Pro-Q2O):
data
|
generator card
details
Download as:
.pdf
.eps
.png
.script
#
Analysis ID:
ATLAS_2019_I1736531
Hist ID:
/ATLAS_2019_I1736531/d116-x01-y01
ATLAS experiment:
data
|
article paper
|
hepdata
Pythia 6 (100:A):
data
|
generator card
Pythia 6 (103:DW):
data
|
generator card
Pythia 6 (320:P0):
data
|
generator card
Pythia 6 (129:Pro-Q2O):
data
|
generator card
details
Download as:
.pdf
.eps
.png
.script
#
Analysis ID:
ATLAS_2019_I1736531
Hist ID:
/ATLAS_2019_I1736531/d108-x01-y01
ATLAS experiment:
data
|
article paper
|
hepdata
Pythia 6 (100:A):
data
|
generator card
Pythia 6 (103:DW):
data
|
generator card
Pythia 6 (320:P0):
data
|
generator card
Pythia 6 (129:Pro-Q2O):
data
|
generator card
details
Download as:
.pdf
.eps
.png
.script
#
Analysis ID:
ATLAS_2019_I1736531
Hist ID:
/ATLAS_2019_I1736531/d92-x01-y01
ATLAS experiment:
data
|
article paper
|
hepdata
Pythia 6 (100:A):
data
|
generator card
Pythia 6 (103:DW):
data
|
generator card
Pythia 6 (320:P0):
data
|
generator card
Pythia 6 (129:Pro-Q2O):
data
|
generator card
details
Download as:
.pdf
.eps
.png
.script
#
Analysis ID:
ATLAS_2019_I1736531
Hist ID:
/ATLAS_2019_I1736531/d101-x01-y01
ATLAS experiment:
data
|
article paper
|
hepdata
Pythia 6 (100:A):
data
|
generator card
Pythia 6 (103:DW):
data
|
generator card
Pythia 6 (320:P0):
data
|
generator card
Pythia 6 (129:Pro-Q2O):
data
|
generator card
details
Download as:
.pdf
.eps
.png
.script
#
Analysis ID:
ATLAS_2019_I1736531
Hist ID:
/ATLAS_2019_I1736531/d93-x01-y01
ATLAS experiment:
data
|
article paper
|
hepdata
Pythia 6 (100:A):
data
|
generator card
Pythia 6 (103:DW):
data
|
generator card
Pythia 6 (320:P0):
data
|
generator card
Pythia 6 (129:Pro-Q2O):
data
|
generator card
details
Download as:
.pdf
.eps
.png
.script
#
Analysis ID:
ATLAS_2019_I1736531
Hist ID:
/ATLAS_2019_I1736531/d445-x01-y01
ATLAS experiment:
data
|
article paper
|
hepdata
Pythia 6 (100:A):
data
|
generator card
Pythia 6 (103:DW):
data
|
generator card
Pythia 6 (320:P0):
data
|
generator card
Pythia 6 (129:Pro-Q2O):
data
|
generator card
details
Download as:
.pdf
.eps
.png
.script
#
Analysis ID:
ATLAS_2019_I1736531
Hist ID:
/ATLAS_2019_I1736531/d437-x01-y01
ATLAS experiment:
data
|
article paper
|
hepdata
Pythia 6 (100:A):
data
|
generator card
Pythia 6 (103:DW):
data
|
generator card
Pythia 6 (320:P0):
data
|
generator card
Pythia 6 (129:Pro-Q2O):
data
|
generator card
details
Download as:
.pdf
.eps
.png
.script
#
Analysis ID:
ATLAS_2019_I1736531
Hist ID:
/ATLAS_2019_I1736531/d429-x01-y01
ATLAS experiment:
data
|
article paper
|
hepdata
Pythia 6 (100:A):
data
|
generator card
Pythia 6 (103:DW):
data
|
generator card
Pythia 6 (320:P0):
data
|
generator card
Pythia 6 (129:Pro-Q2O):
data
|
generator card
details
Download as:
.pdf
.eps
.png
.script
#
Analysis ID:
ATLAS_2019_I1736531
Hist ID:
/ATLAS_2019_I1736531/d421-x01-y01
ATLAS experiment:
data
|
article paper
|
hepdata
Pythia 6 (100:A):
data
|
generator card
Pythia 6 (103:DW):
data
|
generator card
Pythia 6 (320:P0):
data
|
generator card
Pythia 6 (129:Pro-Q2O):
data
|
generator card
details
Download as:
.pdf
.eps
.png
.script
#
Analysis ID:
ATLAS_2019_I1736531
Hist ID:
/ATLAS_2019_I1736531/d413-x01-y01
ATLAS experiment:
data
|
article paper
|
hepdata
Pythia 6 (100:A):
data
|
generator card
Pythia 6 (103:DW):
data
|
generator card
Pythia 6 (320:P0):
data
|
generator card
Pythia 6 (129:Pro-Q2O):
data
|
generator card
details
Download as:
.pdf
.eps
.png
.script
#
Analysis ID:
ATLAS_2019_I1736531
Hist ID:
/ATLAS_2019_I1736531/d285-x01-y01
ATLAS experiment:
data
|
article paper
|
hepdata
Pythia 6 (100:A):
data
|
generator card
Pythia 6 (103:DW):
data
|
generator card
Pythia 6 (320:P0):
data
|
generator card
Pythia 6 (129:Pro-Q2O):
data
|
generator card
details
Download as:
.pdf
.eps
.png
.script
#
Analysis ID:
ATLAS_2019_I1736531
Hist ID:
/ATLAS_2019_I1736531/d277-x01-y01
ATLAS experiment:
data
|
article paper
|
hepdata
Pythia 6 (100:A):
data
|
generator card
Pythia 6 (103:DW):
data
|
generator card
Pythia 6 (320:P0):
data
|
generator card
Pythia 6 (129:Pro-Q2O):
data
|
generator card
details
Download as:
.pdf
.eps
.png
.script
#
Analysis ID:
ATLAS_2019_I1736531
Hist ID:
/ATLAS_2019_I1736531/d109-x01-y01
ATLAS experiment:
data
|
article paper
|
hepdata
Pythia 6 (100:A):
data
|
generator card
Pythia 6 (103:DW):
data
|
generator card
Pythia 6 (320:P0):
data
|
generator card
Pythia 6 (129:Pro-Q2O):
data
|
generator card
details
Download as:
.pdf
.eps
.png
.script
#
Analysis ID:
ATLAS_2019_I1736531
Hist ID:
/ATLAS_2019_I1736531/d117-x01-y01
ATLAS experiment:
data
|
article paper
|
hepdata
Pythia 6 (100:A):
data
|
generator card
Pythia 6 (103:DW):
data
|
generator card
Pythia 6 (320:P0):
data
|
generator card
Pythia 6 (129:Pro-Q2O):
data
|
generator card
details
Download as:
.pdf
.eps
.png
.script
#
Analysis ID:
ATLAS_2019_I1736531
Hist ID:
/ATLAS_2019_I1736531/d125-x01-y01
ATLAS experiment:
data
|
article paper
|
hepdata
Pythia 6 (100:A):
data
|
generator card
Pythia 6 (103:DW):
data
|
generator card
Pythia 6 (320:P0):
data
|
generator card
Pythia 6 (129:Pro-Q2O):
data
|
generator card
details
Download as:
.pdf
.eps
.png
.script
#
Analysis ID:
ATLAS_2019_I1736531
Hist ID:
/ATLAS_2019_I1736531/d253-x01-y01
ATLAS experiment:
data
|
article paper
|
hepdata
Pythia 6 (100:A):
data
|
generator card
Pythia 6 (103:DW):
data
|
generator card
Pythia 6 (320:P0):
data
|
generator card
Pythia 6 (129:Pro-Q2O):
data
|
generator card
details
Download as:
.pdf
.eps
.png
.script
#
Analysis ID:
ATLAS_2019_I1736531
Hist ID:
/ATLAS_2019_I1736531/d261-x01-y01
ATLAS experiment:
data
|
article paper
|
hepdata
Pythia 6 (100:A):
data
|
generator card
Pythia 6 (103:DW):
data
|
generator card
Pythia 6 (320:P0):
data
|
generator card
Pythia 6 (129:Pro-Q2O):
data
|
generator card
details
Download as:
.pdf
.eps
.png
.script
#
Analysis ID:
ATLAS_2019_I1736531
Hist ID:
/ATLAS_2019_I1736531/d269-x01-y01
ATLAS experiment:
data
|
article paper
|
hepdata
Pythia 6 (100:A):
data
|
generator card
Pythia 6 (103:DW):
data
|
generator card
Pythia 6 (320:P0):
data
|
generator card
Pythia 6 (129:Pro-Q2O):
data
|
generator card