LHC@HOME
CARDS
COMPARISON
Tunes
Generators
PLOTS
4-lepton
b
b
Elastic
Heavy Ion : minbias
Jets
Soft QCD (inelastic)
Soft QCD (nsd only)
Total σ
Top (t-channel)
Top (all)
Top (parton level)
Top (t
t
)
Underlying Event
W+Jet
W
WW
Z+Jet
ee : γ*/Z (hadronic)
Z (Drell-Yan)
ABOUT
Soft QCD (inelastic)
<pT>
j
vs Nch
<pT> vs Nch
Energy flow
Forward energy flow ratio
EM energy spectrum
Hadronic energy spectrum
Total energy spectrum
η Distributions
Rapidity gap size
Rapidity Gaps (MC only)
Jet p
T
K0S2pippim_pt
Kst0Kst0b2pippim_pt
Kst0Kst0b_pt
LLbar_pt
n.avgk
n.E
n.eflow
n.k
Multiplicity Distributions
Omega2phi_pt
Omegapm_pt
phi2pippim_pt
pT Distributions
<pT> vs mass
sqrts.xsec
Σ(ET)
Σ(ET) vs Nch
Diffractive ξ
Xi2phi_pt
Cross sections
Identified Particles : σ
ccbar
D0
D+
Ds+
D*+
Identified Particles : pT
D0
D0
D+
Ds+
D*+
η
K0S
K-
K+ + K-
K+
Λc+
Λbar
Λ
pbar
φ
π
0
π-
π+ + π-
π+
pbar
p + pbar
p
p
Σbar(1385)-
Σbar(1385)+
Σ(1385)-
Σ(1385)+
Σc0,+,++
Ξ(1530)
Ξ-
Ξ+
Ξ
Identified Particles : Ratios
D+/D0 vs pT
D*+/D0 vs pT
Ds+/D0 vs pT
Ds+/D+ vs pT
η/π0 vs pT
K-/K+ vs |y|
(K-+K+)/(π-+π+) vs pT
(K-+K+)/(π-+π+) vs |y|
Λ/K0S vs pT
Λc+/D0 vs pT
Λc+ from Σc0,+,++/Λc+ vs pT
Λbar/K0S vs pT
Λbar/K0S vs |y|
Λbar/K0S vs |Δy|
Λbar/Λ vs pT
Λbar/Λ vs |y|
Λbar/Λ vs |Δy|
p/π+ vs pT
pbar/π vs pT
pbar/p vs pT
pbar/p vs |y|
(pbar+p)/(K-+K+) vs |y|
(pbar+p)/(π-+π+) vs pT
(pbar+p)/(π-+π+) vs |y|
π-/π+ vs pT
π-/π+ vs |y|
Σc0,+,++/D0 vs pT
Ξ+/Ξ- vs pT
FB Correlations
b(Nch) vs Δη
b(Nch) vs ηC
Jet Shapes
Differential Jet Shape
Diffraction
ξ
Δη
|t|
Jet Multiplicities
Nj vs Nch
Identified Particles : Y
φ
Soft QCD (inelastic) : Multiplicity Distributions
Soft-Inclusive MCs : UE Tunes
General-Purpose MCs
Main
Herwig vs Pythia
Pythia 6 vs 8
All C++ Generators
Soft-Inclusive MCs
Min-Bias Tunes
UE Tunes
EPOS vs Pythia
Pythia 8
Matched/Merged MCs
Main
vs GPMCs
Powheg-Box
Herwig
Main
Herwig++
Powheg
Herwig7 vs Pythia
Herwig7 vs Sherpa
Pythia 8
Main
A14
AU2-PDFs
Diffraction
LEP
Rad Variations
No CR
4Cx
Tevatron
Py8 vs Py6
Py8 vs Herwig
Py8 vs Sherpa
Pythia 6
Main
Py6 vs Py8
P12-RadFrag
P12-MpiCR
AMBT2 vs Z2
AUET2B-PDFs
P12-PDFs
CTEQ6 vs LO*
IBK LOPDFs
IBK NLOPDFs
Perugia History
P11-All
LHC tunes
Tevatron
Old vs P12
Sherpa
Main
Matching/Merging
Customize
ℹ️
Choose generators/versions/tunes to plot : either from a pre-defined preset (left button) or from all available MCs (right button)
pp @ 900 GeV
details
Download as:
.pdf
.eps
.png
.script
#
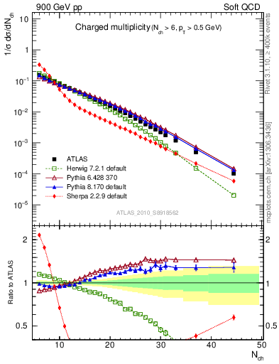
Analysis ID:
ALICE_2010_I852450
Hist ID:
/ALICE_2010_I852450/d11-x01-y01
ALICE experiment:
data
|
article paper
|
hepdata
Epos (LHC):
data
|
generator card
Herwig 7 (Def):
data
|
generator card
Pythia 6 (370:P2012):
data
|
generator card
Pythia 8 (Def):
data
|
generator card
Sherpa (Def):
data
|
generator card
details
Download as:
.pdf
.eps
.png
.script
#
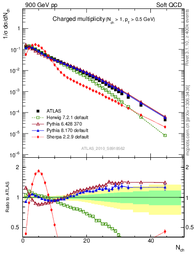
Analysis ID:
ALICE_2010_I852450
Hist ID:
/ALICE_2010_I852450/d12-x01-y01
ALICE experiment:
data
|
article paper
|
hepdata
Epos (LHC):
data
|
generator card
Herwig 7 (Def):
data
|
generator card
Pythia 6 (370:P2012):
data
|
generator card
Pythia 8 (Def):
data
|
generator card
Sherpa (Def):
data
|
generator card
details
Download as:
.pdf
.eps
.png
.script
#
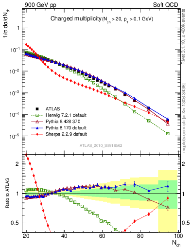
Analysis ID:
ALICE_2010_I852450
Hist ID:
/ALICE_2010_I852450/d13-x01-y01
ALICE experiment:
data
|
article paper
|
hepdata
Epos (LHC):
data
|
generator card
Herwig 7 (Def):
data
|
generator card
Pythia 6 (370:P2012):
data
|
generator card
Pythia 8 (Def):
data
|
generator card
Sherpa (Def):
data
|
generator card
details
Download as:
.pdf
.eps
.png
.script
#
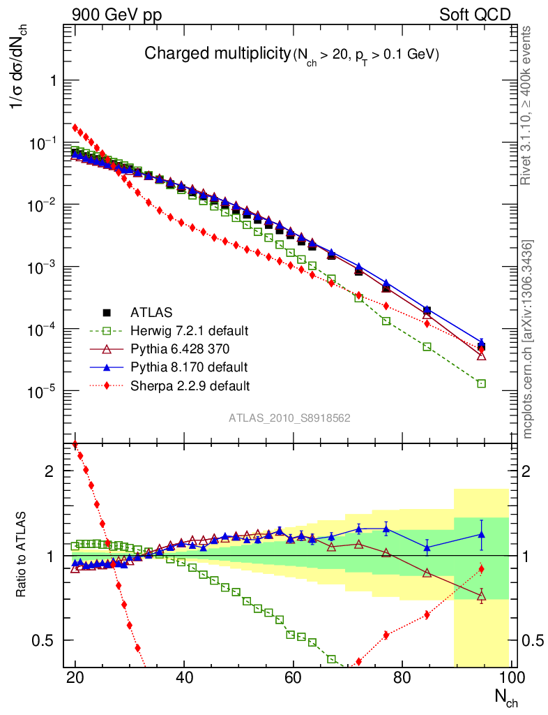
Analysis ID:
ATLAS_2010_I849050
Hist ID:
/ATLAS_2010_I849050/d04-x01-y01
ATLAS experiment:
data
|
article paper
|
hepdata
Epos (LHC):
data
|
generator card
Herwig 7 (Def):
data
|
generator card
Pythia 6 (370:P2012):
data
|
generator card
Pythia 8 (Def):
data
|
generator card
Sherpa (Def):
data
|
generator card
ppbar @ 900 GeV
details
Download as:
.pdf
.eps
.png
.script
#
Analysis ID:
UA1_1990_I280412
Hist ID:
/UA1_1990_I280412/d01-x01-y03
UA1 experiment:
data
|
article paper
|
hepdata
Epos (LHC):
data
|
generator card
Herwig 7 (Def):
data
|
generator card
Pythia 6 (370:P2012):
data
|
generator card
Pythia 8 (Def):
data
|
generator card
Sherpa (Def):
data
|
generator card
details
Download as:
.pdf
.eps
.png
.script
#
Analysis ID:
UA5_1989_I267179
Hist ID:
/UA5_1989_I267179/d02-x01-y01
UA5 experiment:
data
|
article paper
|
hepdata
Epos (LHC):
data
|
generator card
Herwig 7 (Def):
data
|
generator card
Pythia 6 (370:P2012):
data
|
generator card
Pythia 8 (Def):
data
|
generator card
Sherpa (Def):
data
|
generator card
details
Download as:
.pdf
.eps
.png
.script
#
Analysis ID:
UA5_1989_I267179
Hist ID:
/UA5_1989_I267179/d07-x01-y01
UA5 experiment:
data
|
article paper
|
hepdata
Epos (LHC):
data
|
generator card
Herwig 7 (Def):
data
|
generator card
Pythia 6 (370:P2012):
data
|
generator card
Pythia 8 (Def):
data
|
generator card
Sherpa (Def):
data
|
generator card
details
Download as:
.pdf
.eps
.png
.script
#
Analysis ID:
UA5_1989_I267179
Hist ID:
/UA5_1989_I267179/d08-x01-y01
UA5 experiment:
data
|
article paper
|
hepdata
Epos (LHC):
data
|
generator card
Herwig 7 (Def):
data
|
generator card
Pythia 6 (370:P2012):
data
|
generator card
Pythia 8 (Def):
data
|
generator card
Sherpa (Def):
data
|
generator card
details
Download as:
.pdf
.eps
.png
.script
#
Analysis ID:
UA5_1989_I267179
Hist ID:
/UA5_1989_I267179/d09-x01-y01
UA5 experiment:
data
|
article paper
|
hepdata
Epos (LHC):
data
|
generator card
Herwig 7 (Def):
data
|
generator card
Pythia 6 (370:P2012):
data
|
generator card
Pythia 8 (Def):
data
|
generator card
Sherpa (Def):
data
|
generator card
details
Download as:
.pdf
.eps
.png
.script
#
Analysis ID:
UA5_1989_I267179
Hist ID:
/UA5_1989_I267179/d10-x01-y01
UA5 experiment:
data
|
article paper
|
hepdata
Epos (LHC):
data
|
generator card
Herwig 7 (Def):
data
|
generator card
Pythia 6 (370:P2012):
data
|
generator card
Pythia 8 (Def):
data
|
generator card
Sherpa (Def):
data
|
generator card
pp @ 7000 GeV
details
Download as:
.pdf
.eps
.png
.script
#
Analysis ID:
ALICE_2010_I852264
Hist ID:
/ALICE_2010_I852264/d03-x01-y01
ALICE experiment:
data
|
article paper
|
hepdata
Epos (LHC):
data
|
generator card
Herwig 7 (Def):
data
|
generator card
Pythia 6 (370:P2012):
data
|
generator card
Pythia 8 (Def):
data
|
generator card
Sherpa (Def):
data
|
generator card
ppbar @ 630 GeV
details
Download as:
.pdf
.eps
.png
.script
#
Analysis ID:
CDF_2002_I567774
Hist ID:
/CDF_2002_I567774/d01-x01-y01
CDF experiment:
data
|
article paper
|
hepdata
Epos (LHC):
data
|
generator card
Herwig 7 (Def):
data
|
generator card
Pythia 6 (370:P2012):
data
|
generator card
Pythia 8 (Def):
data
|
generator card
Sherpa (Def):
data
|
generator card
ppbar @ 546 GeV
details
Download as:
.pdf
.eps
.png
.script
#
Analysis ID:
UA5_1987_I244829
Hist ID:
/UA5_1987_I244829/d03-x01-y01
UA5 experiment:
data
|
article paper
|
hepdata
Epos (LHC):
data
|
generator card
Herwig 7 (Def):
data
|
generator card
Pythia 6 (370:P2012):
data
|
generator card
Pythia 8 (Def):
data
|
generator card
Sherpa (Def):
data
|
generator card
ppbar @ 500 GeV
details
Download as:
.pdf
.eps
.png
.script
#
Analysis ID:
UA1_1990_I280412
Hist ID:
/UA1_1990_I280412/d01-x01-y02
UA1 experiment:
data
|
article paper
|
hepdata
Epos (LHC):
data
|
generator card
Herwig 7 (Def):
data
|
generator card
Pythia 6 (370:P2012):
data
|
generator card
Pythia 8 (Def):
data
|
generator card
Sherpa (Def):
data
|
generator card
pp @ 2360 GeV
details
Download as:
.pdf
.eps
.png
.script
#
Analysis ID:
ALICE_2010_I852450
Hist ID:
/ALICE_2010_I852450/d17-x01-y01
ALICE experiment:
data
|
article paper
|
hepdata
Epos (LHC):
data
|
generator card
Herwig 7 (Def):
data
|
generator card
Pythia 6 (370:P2012):
data
|
generator card
Pythia 8 (Def):
data
|
generator card
Sherpa (Def):
data
|
generator card
details
Download as:
.pdf
.eps
.png
.script
#
Analysis ID:
ALICE_2010_I852450
Hist ID:
/ALICE_2010_I852450/d18-x01-y01
ALICE experiment:
data
|
article paper
|
hepdata
Epos (LHC):
data
|
generator card
Herwig 7 (Def):
data
|
generator card
Pythia 6 (370:P2012):
data
|
generator card
Pythia 8 (Def):
data
|
generator card
Sherpa (Def):
data
|
generator card
details
Download as:
.pdf
.eps
.png
.script
#
Analysis ID:
ALICE_2010_I852450
Hist ID:
/ALICE_2010_I852450/d19-x01-y01
ALICE experiment:
data
|
article paper
|
hepdata
Epos (LHC):
data
|
generator card
Herwig 7 (Def):
data
|
generator card
Pythia 6 (370:P2012):
data
|
generator card
Pythia 8 (Def):
data
|
generator card
Sherpa (Def):
data
|
generator card
pp @ 200 GeV
details
Download as:
.pdf
.eps
.png
.script
#
Analysis ID:
STAR_2008_I793126
Hist ID:
/STAR_2008_I793126/d01-x01-y01
STAR experiment:
data
|
article paper
|
hepdata
Epos (LHC):
data
|
generator card
Herwig 7 (Def):
data
|
generator card
Pythia 6 (370:P2012):
data
|
generator card
Pythia 8 (Def):
data
|
generator card
Sherpa (Def):
data
|
generator card
ppbar @ 200 GeV
details
Download as:
.pdf
.eps
.png
.script
#
Analysis ID:
UA1_1990_I280412
Hist ID:
/UA1_1990_I280412/d01-x01-y01
UA1 experiment:
data
|
article paper
|
hepdata
Epos (LHC):
data
|
generator card
Herwig 7 (Def):
data
|
generator card
Pythia 6 (370:P2012):
data
|
generator card
Pythia 8 (Def):
data
|
generator card
Sherpa (Def):
data
|
generator card
details
Download as:
.pdf
.eps
.png
.script
#
Analysis ID:
UA5_1989_I267179
Hist ID:
/UA5_1989_I267179/d01-x01-y01
UA5 experiment:
data
|
article paper
|
hepdata
Epos (LHC):
data
|
generator card
Herwig 7 (Def):
data
|
generator card
Pythia 6 (370:P2012):
data
|
generator card
Pythia 8 (Def):
data
|
generator card
Sherpa (Def):
data
|
generator card
details
Download as:
.pdf
.eps
.png
.script
#
Analysis ID:
UA5_1989_I267179
Hist ID:
/UA5_1989_I267179/d03-x01-y01
UA5 experiment:
data
|
article paper
|
hepdata
Epos (LHC):
data
|
generator card
Herwig 7 (Def):
data
|
generator card
Pythia 6 (370:P2012):
data
|
generator card
Pythia 8 (Def):
data
|
generator card
Sherpa (Def):
data
|
generator card
details
Download as:
.pdf
.eps
.png
.script
#
Analysis ID:
UA5_1989_I267179
Hist ID:
/UA5_1989_I267179/d04-x01-y01
UA5 experiment:
data
|
article paper
|
hepdata
Epos (LHC):
data
|
generator card
Herwig 7 (Def):
data
|
generator card
Pythia 6 (370:P2012):
data
|
generator card
Pythia 8 (Def):
data
|
generator card
Sherpa (Def):
data
|
generator card
details
Download as:
.pdf
.eps
.png
.script
#
Analysis ID:
UA5_1989_I267179
Hist ID:
/UA5_1989_I267179/d05-x01-y01
UA5 experiment:
data
|
article paper
|
hepdata
Epos (LHC):
data
|
generator card
Herwig 7 (Def):
data
|
generator card
Pythia 6 (370:P2012):
data
|
generator card
Pythia 8 (Def):
data
|
generator card
Sherpa (Def):
data
|
generator card
details
Download as:
.pdf
.eps
.png
.script
#
Analysis ID:
UA5_1989_I267179
Hist ID:
/UA5_1989_I267179/d06-x01-y01
UA5 experiment:
data
|
article paper
|
hepdata
Epos (LHC):
data
|
generator card
Herwig 7 (Def):
data
|
generator card
Pythia 6 (370:P2012):
data
|
generator card
Pythia 8 (Def):
data
|
generator card
Sherpa (Def):
data
|
generator card
ppbar @ 1960 GeV
details
Download as:
.pdf
.eps
.png
.script
#
Analysis ID:
CDF_2009_NOTE_9936
Hist ID:
/CDF_2009_NOTE_9936/d01-x01-y01
CDF experiment:
data
|
article paper
Epos (LHC):
data
|
generator card
Herwig 7 (Def):
data
|
generator card
Pythia 6 (370:P2012):
data
|
generator card
Pythia 8 (Def):
data
|
generator card
Sherpa (Def):
data
|
generator card
ppbar @ 1800 GeV
details
Download as:
.pdf
.eps
.png
.script
#
Analysis ID:
CDF_2002_I567774
Hist ID:
/CDF_2002_I567774/d02-x01-y01
CDF experiment:
data
|
article paper
|
hepdata
Epos (LHC):
data
|
generator card
Herwig 7 (Def):
data
|
generator card
Pythia 6 (370:P2012):
data
|
generator card
Pythia 8 (Def):
data
|
generator card
Sherpa (Def):
data
|
generator card